STUDY NAME: AStream example / 2014-03-03 17:10:11
| id | MZ | MassSubmitted | RT | FoldChange | N1 | N2 | P-value | REF.NFG | REF.LABELS (id/rtD/mzD/C) | NOTREF.NFG | NOTREF.LABELS (id/rtD/mzD/C) | HMDB.N | HMDB.MATCHS | ||||
| 11 | 73.532 | 72.525 | 366.3 | 0.84 | 9 | 10 | 9.00e-02 | 1 | [13C1]14;-1.04e-02;3.59e-03;1.00 | 0 | 0 | NA | |||||
| 12 | 74.06 | 73.053 | 460.9 | 1.07 | 9 | 10 | 4.13e-01 | 1 | [13C1]16;1.58e-02;8.44e-04;0.94 | 0 | 2 | HMDB01888:2.6e-04/Chymotrypsin-like HMDB02134:2.6e-04/Amine oxidase [fla | |||||
| 13 | 74.06 | 73.053 | 513.1 | 1.06 | 9 | 10 | 1.58e-01 | 1 | [13C1]17;-6.18e-01;7.08e-04;0.80 | 0 | 2 | HMDB01888:1.6e-04/Chymotrypsin-like HMDB02134:1.6e-04/Amine oxidase [fla | |||||
| 18 | 76.064 | 75.057 | 416.3 | 2.24 | 9 | 10 | 2.11e-01 | 1 | [13C1]22;1.44e+00;6.02e-03;1.00 | 0 | 0 | NA | |||||
| 23 | 77.996 | 76.988 | 365.6 | 0.92 | 9 | 10 | 1.52e-01 | 1 | [13C1]25;5.56e-02;2.21e-03;0.93 | 0 | 0 | NA | |||||
| 32 | 82.538 | 81.53 | 366.1 | 0.93 | 9 | 10 | 2.57e-01 | 1 | [13C1]34;0.00e+00;4.93e-03;0.99 | 0 | 0 | NA | |||||
| 37 | 85.027 | 84.019 | 415.1 | 1.16 | 9 | 10 | 5.62e-03 | 1 | [13C1]38;5.50e-01;4.42e-03;0.93 | 0 | 0 | NA | |||||
| 39 | 86.096 | 85.089 | 524.9 | 0.95 | 9 | 10 | 4.28e-01 | 2 | [13C1]46;3.96e-01;2.10e-03;0.92 [M+H+HCOOH]:197;5.7e-02;3.7e-04;0.99 | 0 | 1 | HMDB34301:1.4e-04/Piperidine | |||||
| 41 | 86.096 | 85.089 | 757.9 | 1.01 | 9 | 10 | 8.85e-01 | 2 | [13C1]47;-8.66e-01;1.09e-03;0.89 [M+H+HCOOH]:199;-7.1e-01;3.3e-04;0.98 | 0 | 1 | HMDB34301:7.9e-06/Piperidine | |||||
| 42 | 86.097 | 85.089 | 850 | 1.07 | 9 | 10 | 2.15e-01 | 3 | [13C1]48;-1.66e-01;7.60e-04;0.98 [M+H+HCOOH]:200;-3.0e-02;3.0e-04;1.00 [M+Na+HCOOH]:307;-1.0e+00;3.6e-04;0.74 | 0 | 1 | HMDB34301:1.8e-04/Piperidine | |||||
| 45 | 87.079 | 86.071 | 923.1 | 2.98 | 9 | 10 | 4.08e-03 | 1 | [13C1]52;-1.26e+00;1.07e-03;0.93 | 0 | 2 | HMDB34235:1.7e-03/2-Pentanone HMDB06478:1.7e-03/Hepatic encephalop | |||||
| 63 | 94.053 | 93.045 | 366 | 0.91 | 9 | 10 | 8.31e-02 | 1 | [13C1]64;6.01e-02;9.85e-03;0.93 | 0 | 0 | NA | |||||
| 86 | 102.035 | 101.028 | 367.2 | 0.8 | 9 | 10 | 5.88e-01 | 1 | [13C1]88;-1.09e+00;1.08e-03;1.00 | 0 | 0 | NA | |||||
| 98 | 105.048 | 104.041 | 842.1 | 0.9 | 9 | 10 | 3.83e-01 | 2 | [13C1]102;7.10e-01;4.15e-04;0.99 [13C2]108;1.1e+00;2.1e-03;0.98 | 0 | 8 | HMDB00336:6.3e-03/Diabetes mellitus HMDB00710:6.3e-03/Hydroxyacid-oxoaci HMDB00729:6.3e-03/Lung Cancer HMDB11597:6.3e-03/Hydroxyacid-oxoaci HMDB00435:6.3e-03/Hydroxyacyl-coenzy HMDB00357:6.3e-03/D-beta-hydroxybuty HMDB00011:6.3e-03/Novel protein simi HMDB00008:6.3e-03/L-lactate dehydrog | |||||
| 99 | 105.09 | 104.083 | 923.2 | 3.27 | 9 | 10 | 4.41e-03 | 2 | [13C1]103;4.06e-01;7.15e-04;1.00 [M+Na]:171;4.4e-01;6.7e-04;0.99 | 0 | 0 | NA | |||||
| 102 | 106.052 | 105.045 | 842.8 | 0.91 | 9 | 10 | 4.05e-01 | 1 | [13C1]108;3.97e-01;2.56e-03;0.96 | 1 | [13C#1]98;7.10e-01;4.15e-04;0.99 | 2 | HMDB00589:2.2e-03/Serine dehydratase HMDB03406:2.2e-03/Phosphoserine phos | ||||
| 115 | 110.01 | 109.003 | 366.1 | 0.89 | 9 | 10 | 1.09e-01 | 2 | [13C1]117;-8.26e-02;4.10e-04;0.89 [13C2]121;-1.5e-01;8.8e-03;0.98 | 0 | 0 | NA | |||||
| 117 | 111.013 | 110.006 | 366 | 0.93 | 9 | 10 | 2.32e-01 | 1 | [13C1]121;-6.77e-02;8.34e-03;0.93 | 1 | [13C#1]115;8.26e-02;4.10e-04;0.89 | 0 | NA | ||||
| 120 | 111.11 | 110.103 | 1623.7 | 1.02 | 9 | 10 | 8.33e-01 | 1 | [13C1]123;-2.95e-01;5.49e-03;0.93 | 0 | 0 | NA | |||||
| 130 | 114.091 | 113.084 | 960.9 | 1.29 | 9 | 10 | 1.82e-01 | 1 | [13C1]135;9.05e-02;3.58e-03;1.00 | 0 | 0 | NA | |||||
| 131 | 114.99 | 113.982 | 366 | 0.93 | 9 | 10 | 4.66e-01 | 1 | [13C1]136;-7.15e-01;5.30e-03;0.93 | 0 | 0 | NA | |||||
| 138 | 116.057 | 115.05 | 429.4 | 1.23 | 9 | 10 | 1.21e-01 | 1 | [13C1]140;-7.42e-02;4.44e-04;1.00 | 0 | 0 | NA | |||||
| 144 | 118.085 | 117.078 | 448.8 | 1.1 | 9 | 10 | 7.41e-02 | 1 | [13C1]148;1.03e-02;9.49e-04;0.99 | 0 | 5 | HMDB13716:1.1e-03/Norvaline HMDB03355:1.1e-03/5-Aminopentanoic a HMDB00043:1.1e-03/Sodium- and chlori HMDB34366:1.1e-03/Monocarboxylate tr HMDB15550:1.1e-03/Atrial natriuretic | |||||
| 145 | 118.086 | 117.079 | 509.4 | 1.2 | 9 | 10 | 1.04e-02 | 1 | [13C1]149;0.00e+00;6.61e-04;0.99 | 0 | 5 | HMDB13716:2.4e-04/Norvaline HMDB03355:2.4e-04/5-Aminopentanoic a HMDB00043:2.4e-04/Sodium- and chlori HMDB34366:2.4e-04/Monocarboxylate tr HMDB15550:2.4e-04/Atrial natriuretic | |||||
| 146 | 118.086 | 117.079 | 597.5 | 1.09 | 9 | 10 | 1.05e-01 | 1 | [13C1]150;-4.91e-02;4.78e-04;0.99 | 0 | 5 | HMDB13716:1.2e-04/Norvaline HMDB03355:1.2e-04/5-Aminopentanoic a HMDB00043:1.2e-04/Sodium- and chlori HMDB34366:1.2e-04/Monocarboxylate tr HMDB15550:1.2e-04/Atrial natriuretic | |||||
| 158 | 123.059 | 122.051 | 842.5 | 0.9 | 9 | 10 | 3.63e-01 | 5 | [13C1]161;-2.12e-02;3.55e-05;0.99 [13C2]163;-4.5e-01;2.3e-03;0.98 [M+NH4]:246;-1.7e-01;6.5e-04;0.99 [M+Na]:261;-4.3e-01;3.3e-04;0.96 [M+K]:339;-3.9e-01;2.7e-03;0.97 | 0 | 3 | HMDB01406:3.5e-03/tRNA 2'-phosphotra HMDB04136:6.4e-03/Ribose-5-phosphate HMDB02994:6.4e-03/Ribose-5-phosphate | |||||
| 161 | 124.062 | 123.055 | 842.5 | 0.89 | 9 | 10 | 3.15e-01 | 1 | [13C1]163;-4.32e-01;2.38e-03;0.96 | 1 | [13C#1]158;2.12e-02;3.55e-05;0.99 | 0 | NA | ||||
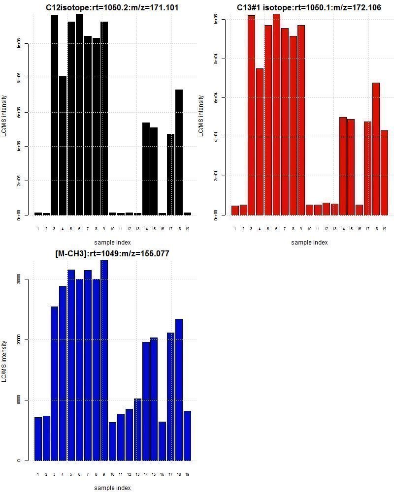
| 164 | 125.096 | 124.088 | 1050.2 | 2.85 | 9 | 10 | 6.05e-03 | 2 | [13C1]167;-9.70e-01;8.06e-03;0.97 [M+H+HCOOH]:385;9.5e-03;3.3e-04;1.00 | 0 | 0 | NA | |||||
| 184 | 130.05 | 129.042 | 480.1 | 1.29 | 9 | 10 | 1.38e-01 | 2 | [13C1]192;-5.55e-01;8.39e-05;0.99 [M+Na]:293;-2.8e+00;3.2e-03;0.91 | 0 | 3 | HMDB00267:3.5e-04/Alpha-amylase 2B HMDB61093:3.5e-04/dimethadione HMDB15231:8.4e-03/DNA (cytosine-5)-m | |||||
| 185 | 130.05 | 129.042 | 642.3 | 1.28 | 9 | 10 | 9.57e-02 | 2 | [13C1]193;5.32e-02;2.65e-04;0.99 [M+Na]:292;-9.8e-01;2.9e-04;0.96 | 0 | 3 | HMDB00267:2.4e-04/Alpha-amylase 2B HMDB61093:2.4e-04/dimethadione HMDB15231:8.5e-03/DNA (cytosine-5)-m | |||||
| 189 | 130.159 | 129.152 | 953.6 | 1.14 | 9 | 10 | 4.49e-01 | 2 | [13C1]194;0.00e+00;1.17e-03;1.00 [13C2]201;-1.2e-01;2.5e-04;0.99 | 0 | 0 | NA | |||||
| 194 | 131.161 | 130.154 | 953.6 | 1.14 | 9 | 10 | 4.53e-01 | 1 | [13C1]201;-1.20e-01;9.23e-04;0.99 | 1 | [13C#1]189;0.00e+00;1.17e-03;1.00 | 0 | NA | ||||
| 197 | 132.101 | 131.094 | 525 | 0.95 | 9 | 10 | 4.42e-01 | 1 | [13C1]206;-1.25e-01;7.41e-04;0.99 | 1 | [M+H+HCOOH]39;5.67e-02;3.67e-04;0.99 | 8 | HMDB03640:5.2e-04/Vitamin B12 defici HMDB00172:5.2e-04/L-amino-acid oxida HMDB13773:5.2e-04/D-Leucine HMDB00687:5.2e-04/4F2 cell-surface a HMDB60650:5.2e-04/N-(2-Hydroxyethyl) HMDB02291:5.2e-04/Maple syrup urine HMDB01645:5.2e-04/L-Norleucine HMDB02002:5.2e-04/Aminocaproic acid | ||||
| 199 | 132.102 | 131.094 | 757.2 | 1 | 9 | 10 | 9.96e-01 | 1 | [13C1]208;-7.46e-02;4.68e-04;0.94 | 1 | [M+H+HCOOH]41;7.05e-01;3.29e-04;0.98 | 8 | HMDB03640:3.3e-04/Vitamin B12 defici HMDB00172:3.3e-04/L-amino-acid oxida HMDB13773:3.3e-04/D-Leucine HMDB00687:3.3e-04/4F2 cell-surface a HMDB60650:3.3e-04/N-(2-Hydroxyethyl) HMDB02291:3.3e-04/Maple syrup urine HMDB01645:3.3e-04/L-Norleucine HMDB02002:3.3e-04/Aminocaproic acid | ||||
| 200 | 132.102 | 131.094 | 850 | 1.07 | 9 | 10 | 2.14e-01 | 3 | [13C1]209;3.04e-02;4.42e-04;1.00 [13C2]213;2.9e-01;1.7e-03;0.97 [M+Na]:307;-9.9e-01;6.1e-05;0.74 | 1 | [M+H+HCOOH]42;3.04e-02;3.03e-04;1.00 | 8 | HMDB03640:1.4e-04/Vitamin B12 defici HMDB00172:1.4e-04/L-amino-acid oxida HMDB13773:1.4e-04/D-Leucine HMDB00687:1.4e-04/4F2 cell-surface a HMDB60650:1.4e-04/N-(2-Hydroxyethyl) HMDB02291:1.4e-04/Maple syrup urine HMDB01645:1.4e-04/L-Norleucine HMDB02002:1.4e-04/Aminocaproic acid | ||||
| 205 | 133.087 | 132.08 | 376.5 | 1.11 | 9 | 10 | 2.98e-01 | 1 | [13C1]212;-2.08e-01;5.57e-03;0.97 | 0 | 7 | HMDB59770:1.3e-03/Threo-3-Hydroxy-2- HMDB00746:1.3e-03/Maple syrup urine HMDB00525:1.3e-03/Medium Chain Acyl- HMDB00665:1.3e-03/Leucinic acid HMDB00317:1.3e-03/2-Hydroxy-3-methyl HMDB03374:9.9e-03/D-amino-acid oxida HMDB04984:9.9e-03/Cationic amino aci | |||||
| 209 | 133.105 | 132.097 | 850 | 1.07 | 9 | 10 | 2.08e-01 | 1 | [13C1]213;2.64e-01;1.31e-03;0.98 | 1 | [13C#1]200;3.04e-02;4.42e-04;1.00 | 4 | HMDB29641:3.5e-03/p-Mentha-1,3,5,8-t HMDB13812:5.1e-03/1-Nitrohexane HMDB03374:7.5e-03/D-amino-acid oxida HMDB04984:7.5e-03/Cationic amino aci | ||||
| 274 | 149.025 | 148.018 | 1481.8 | 1.06 | 9 | 10 | 2.47e-01 | 1 | [13C1]280;3.19e-01;2.75e-03;0.84 | 0 | 1 | HMDB13210:1.3e-03/L-amino-acid oxida | |||||
| 281 | 150.057 | 149.05 | 462.7 | 1.02 | 9 | 10 | 8.60e-01 | 1 | [13C1]286;2.09e-01;9.91e-04;0.97 | 0 | 3 | HMDB00696:8.6e-04/L-amino-acid oxida HMDB14997:8.6e-04/Solute carrier org HMDB60946:2.5e-03/NAPQI | |||||
| 282 | 150.058 | 149.051 | 599.4 | 1.05 | 9 | 10 | 7.28e-01 | 1 | [13C1]287;1.43e-01;2.93e-04;0.99 | 0 | 4 | HMDB00696:2.4e-04/L-amino-acid oxida HMDB14997:2.4e-04/Solute carrier org HMDB60946:3.1e-03/NAPQI HMDB14796:9.9e-03/Sevelamer | |||||
| 285 | 151.035 | 150.028 | 366.2 | 0.86 | 9 | 10 | 7.07e-02 | 5 | [13C1]294;7.58e-02;2.06e-03;1.00 [13C2]297;7.6e-02;8.8e-03;1.00 [M+H+Na]:400;-4.3e-01;1.4e-03;0.88 [M+H+HCOOH]:526;-1.9e+00;3.2e-04;0.84 [M+Na+HCOOH]:640;-2.5e+00;3.2e-04;0.73 | 0 | 1 | HMDB01587:4.0e-03/Phenylglyoxylic ac | |||||
| 294 | 152.036 | 151.029 | 366.2 | 0.87 | 9 | 10 | 7.24e-02 | 1 | [13C1]297;0.00e+00;6.72e-03;1.00 | 1 | [13C#1]285;7.58e-02;2.06e-03;1.00 | 0 | NA | ||||
| 300 | 153.138 | 152.131 | 911.7 | 0.97 | 9 | 10 | 4.40e-01 | 1 | [13C1]308;5.04e-01;3.92e-03;0.75 | 0 | 0 | NA | |||||
| 327 | 158.154 | 157.147 | 1389.9 | 1.03 | 9 | 10 | 1.38e-01 | 3 | [13C1]332;0.00e+00;4.90e-04;0.98 [13C2]337;0.0e+00;1.7e-03;0.88 [M+Na]:431;-9.6e-02;6.6e-04;0.77 | 0 | 0 | NA | |||||
| 332 | 159.157 | 158.15 | 1389.9 | 1.03 | 9 | 10 | 1.38e-01 | 1 | [13C1]337;0.00e+00;1.21e-03;0.88 | 1 | [13C#1]327;0.00e+00;4.90e-04;0.98 | 0 | NA | ||||
| 336 | 160.13 | 159.123 | 445.8 | 1.34 | 9 | 10 | 7.05e-02 | 1 | [13C1]343;1.02e-01;1.98e-03;0.99 | 0 | 2 | HMDB00991:3.2e-03/DL-2-Aminooctanoic HMDB14375:3.2e-03/Voltage-dependent | |||||
| 346 | 162.11 | 161.103 | 415.5 | 1.03 | 9 | 10 | 7.02e-01 | 2 | [13C1]350;-3.57e-01;6.69e-03;0.99 [M+Na]:455;9.6e-01;1.9e-03;0.89 | 0 | 2 | HMDB01467:2.4e-03/Solute carrier org HMDB01010:5.1e-03/Nicotine imine | |||||
| 351 | 163.112 | 162.104 | 1342.8 | 1.05 | 9 | 10 | 4.74e-01 | 2 | [13C1]355;-2.65e-02;5.71e-04;1.00 [13C2]360;-5.4e-02;4.5e-03;0.98 | 0 | 1 | HMDB06827:3.9e-03/Hydroxylysine kina | |||||
| 352 | 163.133 | 162.126 | 1072.7 | 1.06 | 9 | 10 | 3.50e-02 | 3 | [13C1]356;0.00e+00;1.11e-03;0.87 [M+NH4]:433;-2.1e-03;2.3e-03;0.93 [M+Na]:464;-3.6e-01;1.0e-03;0.93 | 0 | 0 | NA | |||||
| 355 | 164.116 | 163.108 | 1342.8 | 1.05 | 9 | 10 | 4.68e-01 | 1 | [13C1]360;-2.73e-02;5.07e-03;0.97 | 1 | [13C#1]351;2.65e-02;5.71e-04;1.00 | 0 | NA | ||||
| 363 | 166.087 | 165.079 | 913.6 | 1.06 | 9 | 10 | 1.27e-01 | 2 | [13C1]366;-1.41e-01;1.26e-03;1.00 [13C2]372;4.5e-01;1.3e-03;0.86 | 0 | 1 | HMDB00612:3.8e-04/Peroxiredoxin-6 | |||||
| 364 | 167.013 | 166.006 | 368.1 | 0.68 | 9 | 10 | 4.75e-01 | 3 | [13C1]368;2.84e-02;1.25e-03;1.00 [M+H+HCOOH]:607;-8.2e-01;3.3e-04;1.00 [M+Na+HCOOH]:748;-2.2e+00;3.6e-04;0.98 | 0 | 0 | NA | |||||
| 365 | 167.073 | 166.066 | 1637.5 | 1.01 | 9 | 10 | 9.01e-01 | 1 | [13C1]370;-1.63e-01;2.98e-03;0.97 | 0 | 9 | HMDB41683:3.1e-03/4-Hydroxyphenyl-2- HMDB61145:3.1e-03/Desaminotyrosine HMDB31132:3.1e-03/3,4-Dihydroxypheny HMDB00779:3.1e-03/Phenylketonuria HMDB00375:3.1e-03/3-(3-Hydroxyphenyl HMDB02072:3.1e-03/4-Methoxyphenylace HMDB00563:3.1e-03/Phenylketonuria HMDB59969:3.1e-03/3-Methoxyphenylace HMDB14747:9.6e-03/Ethionamide | |||||
| 366 | 167.089 | 166.081 | 913.5 | 1.08 | 9 | 10 | 1.27e-01 | 1 | [13C1]372;5.89e-01;5.37e-07;0.87 | 1 | [13C#1]363;1.41e-01;1.26e-03;1.00 | 0 | NA | ||||
| 373 | 169.035 | 168.028 | 449.1 | 1.05 | 9 | 10 | 6.47e-01 | 1 | [13C1]379;2.11e-01;6.44e-04;0.93 | 0 | 1 | HMDB00289:3.6e-04/Glycogen phosphory | |||||
| 374 | 169.036 | 168.028 | 601.5 | 1.12 | 9 | 10 | 2.59e-01 | 2 | [13C1]378;0.00e+00;1.48e-03;1.00 [13C2]384;1.7e+00;2.9e-03;0.84 | 0 | 1 | HMDB00289:5.1e-06/Glycogen phosphory | |||||
| 378 | 170.037 | 169.03 | 601.5 | 1.11 | 9 | 10 | 2.30e-01 | 1 | [13C1]384;1.73e+00;1.43e-03;0.84 | 1 | [13C#1]374;0.00e+00;1.48e-03;1.00 | 1 | HMDB00439:7.3e-03/Glycine N-acyltran | ||||
| 385 | 171.101 | 170.094 | 1050.2 | 3.57 | 9 | 10 | 4.69e-03 | 2 | [13C1]391;-2.15e-02;1.44e-03;0.98 [M-CH3]:314;-1.2e+00;6.6e-03;0.97 | 1 | [M+H+HCOOH]164;9.46e-03;3.31e-04;1.00 | 0 | NA | ||||
| 386 | 171.149 | 170.142 | 1131.1 | 1 | 9 | 10 | 8.70e-01 | 1 | [13C1]394;-3.71e-02;3.62e-04;0.93 | 0 | 0 | NA | |||||
| 395 | 172.169 | 171.161 | 1437.8 | 1.45 | 9 | 10 | 1.04e-01 | 1 | [13C1]399;-1.82e-01;2.43e-03;0.98 | 0 | 0 | NA | |||||
| 413 | 176.074 | 175.067 | 928.3 | 0.95 | 9 | 10 | 8.89e-01 | 1 | [13C2]421;1.4e+00;8.5e-03;0.86 | 0 | 3 | HMDB04073:3.4e-03/Protein arginine N HMDB00197:3.4e-03/Alpha-aminoadipic HMDB03157:7.4e-03/Chronic renal fail | |||||
| 416 | 177.055 | 176.048 | 1482.2 | 1.08 | 9 | 10 | 2.08e-01 | 1 | [13C1]420;4.00e-02;4.30e-03;0.98 | 0 | 0 | NA | |||||
| 429 | 179.933 | 178.926 | 403.7 | 0.96 | 9 | 10 | 3.47e-01 | 1 | [13C2]441;0.0e+00;9.2e-03;0.91 | 0 | 0 | NA | |||||
| 444 | 182.081 | 181.074 | 853.5 | 1.13 | 9 | 10 | 2.17e-01 | 2 | [13C1]449;-7.46e-01;3.00e-04;0.98 [13C2]454;-2.7e+00;4.0e-05;0.97 | 0 | 2 | HMDB06050:2.8e-04/o-Tyrosine HMDB00647:2.8e-04/L-amino-acid oxida | |||||
| 446 | 182.985 | 181.978 | 365.2 | 1.04 | 9 | 10 | 5.40e-01 | 2 | [13C1]452;-4.05e-01;1.72e-03;0.92 [M+Na+HCOOH]:834;-1.1e+00;5.8e-04;0.89 | 0 | 1 | HMDB14706:7.0e-03/Succimer | |||||
| 449 | 183.085 | 182.077 | 852.8 | 1.08 | 9 | 10 | 2.91e-01 | 1 | [13C1]454;-1.99e+00;3.40e-04;0.96 | 1 | [13C#1]444;7.46e-01;3.00e-04;0.98 | 8 | HMDB11632:1.8e-03/Sorbitol dehydroge HMDB01363:1.8e-03/Multidrug resistan HMDB00247:1.8e-03/Aldo-keto reductas HMDB00107:1.8e-03/Aldo-keto reductas HMDB59803:4.1e-03/9-Hydroxyfluorene HMDB59802:4.1e-03/3-Hydroxyfluorene HMDB13163:4.1e-03/2-Hydroxyfluorene HMDB14555:4.9e-03/Neuronal acetylcho | ||||
| 453 | 183.989 | 182.981 | 1255.4 | 0.95 | 9 | 10 | 3.16e-01 | 1 | [13C2]468;-3.6e-02;9.7e-03;0.94 | 0 | 0 | NA | |||||
| 471 | 186.222 | 185.214 | 1052.3 | 0.98 | 9 | 10 | 4.45e-02 | 1 | [13C1]476;-1.41e-01;1.67e-04;0.95 | 0 | 0 | NA | |||||
| 472 | 186.222 | 185.215 | 1787.4 | 1.09 | 9 | 10 | 5.75e-01 | 1 | [13C1]477;0.00e+00;2.85e-04;1.00 | 0 | 0 | NA | |||||
| 479 | 188.071 | 187.063 | 936.9 | 1.06 | 9 | 10 | 3.95e-01 | 2 | [13C1]485;8.23e-02;5.14e-04;1.00 [M+NH4]:568;8.2e-02;1.8e-04;0.97 | 0 | 0 | NA | |||||
| 486 | 189.112 | 188.105 | 1050.4 | 3.57 | 9 | 10 | 4.70e-03 | 3 | [13C1]495;-2.08e-01;2.89e-03;1.00 [M+NH4]:573;-2.3e-01;1.4e-04;1.00 [M+Na]:597;-1.9e-01;6.9e-05;1.00 | 0 | 5 | HMDB59760:5.4e-05/2,4-Dimethylpimeli HMDB11717:5.4e-05/Prostate cancer HMDB00784:5.4e-05/3-oxo-5-beta-stero HMDB59783:5.4e-05/3-Methylsuberic ac HMDB15503:9.8e-03/Antipyrine | |||||
| 501 | 191.144 | 190.136 | 1561.1 | 1.1 | 9 | 10 | 1.48e-01 | 1 | [13C1]507;1.83e-01;5.97e-04;0.99 | 0 | 1 | HMDB13804:6.7e-04/beta-Damascenone | |||||
| 509 | 192.976 | 191.968 | 369.4 | 0.93 | 9 | 10 | 7.03e-01 | 2 | [13C2]516;-1.2e-01;6.6e-03;0.92 [M-COCH2]:278;-9.3e-01;4.7e-03;0.99 | 0 | 0 | NA | |||||
| 513 | 194.117 | 193.109 | 456.9 | 0.96 | 9 | 10 | 9.96e-02 | 1 | [13C1]519;-5.60e-01;2.29e-04;0.78 | 0 | 0 | NA | |||||
| 516 | 194.976 | 193.968 | 369.3 | 0.9 | 9 | 10 | 5.75e-01 | 1 | [13C1]521;-2.54e+00;3.52e-03;0.84 | 1 | [13C#2]509;1.19e-01;9.97e-01;0.92 | 0 | NA | ||||
| 518 | 195.102 | 194.094 | 1637.7 | 1.01 | 9 | 10 | 8.89e-01 | 2 | [13C1]524;-1.04e-01;6.35e-04;1.00 [13C2]529;-6.3e-01;7.5e-04;0.99 | 0 | 0 | NA | |||||
| 524 | 196.106 | 195.098 | 1637.6 | 1.01 | 9 | 10 | 8.98e-01 | 1 | [13C1]529;-5.25e-01;1.39e-03;0.99 | 1 | [13C#1]518;1.04e-01;6.35e-04;1.00 | 2 | HMDB60351:8.9e-03/Alcohol dehydrogen HMDB14903:8.9e-03/Tyrosine 3-monooxy | ||||
| 526 | 197.04 | 196.033 | 364.3 | 0.87 | 9 | 10 | 9.15e-02 | 2 | [13C1]531;1.42e+00;8.45e-03;0.93 [M+Na]:640;-6.8e-01;1.0e-06;0.72 | 1 | [M+H+HCOOH]285;1.85e+00;3.20e-04;0.84 | 1 | HMDB59809:4.3e-03/4-Hydroxy-benzenep | ||||
| 539 | 199.169 | 198.162 | 1623.5 | 1.02 | 9 | 10 | 7.69e-01 | 1 | [13C1]544;-1.04e-01;2.39e-03;0.99 | 0 | 0 | NA | |||||
| 541 | 199.181 | 198.173 | 1389.8 | 1.02 | 9 | 10 | 2.12e-01 | 1 | [13C1]545;0.00e+00;1.39e-03;0.73 | 0 | 0 | NA | |||||
| 546 | 200.201 | 199.194 | 1697 | 1.01 | 9 | 10 | 7.23e-01 | 1 | [13C1]550;-3.55e-01;5.77e-03;0.85 | 0 | 0 | NA | |||||
| 558 | 203.179 | 202.171 | 1464.2 | 0.96 | 9 | 10 | 9.31e-01 | 1 | [13C1]564;-3.69e-01;4.11e-03;0.99 | 0 | 2 | HMDB59676:7.3e-04/beta-Vatirenene HMDB59910:7.3e-04/(E)-Calamene | |||||
| 568 | 205.097 | 204.09 | 937 | 1.08 | 9 | 10 | 2.09e-01 | 1 | [13C1]572;0.00e+00;8.06e-04;1.00 | 1 | [M+NH4]479;8.23e-02;1.80e-04;0.97 | 7 | HMDB00929:7.9e-05/L-amino-acid oxida HMDB13609:7.9e-05/Indoleamine 2,3-di HMDB60533:7.9e-05/Nirvanol HMDB60878:7.9e-05/4-Hydroxyantipyrine HMDB13840:7.9e-05/Solute carrier fam HMDB14892:7.9e-05/Sodium channel pro HMDB60967:7.9e-05/S-nirvanol | ||||
| 569 | 205.143 | 204.136 | 1344.8 | 1.13 | 9 | 10 | 1.14e-01 | 3 | [13C1]574;-4.86e-03;5.19e-04;1.00 [M+NH4]:665;-7.7e-02;3.2e-04;1.00 [M+Na]:694;1.2e-01;6.3e-04;0.99 | 0 | 0 | NA | |||||
| 570 | 205.159 | 204.151 | 1661.3 | 1.15 | 9 | 10 | 4.89e-02 | 1 | [13C1]575;8.37e-02;6.06e-04;0.96 | 0 | 1 | HMDB13816:3.2e-05/2,4-Di-tert-butylp | |||||
| 585 | 208.891 | 207.883 | 400.5 | 1.03 | 9 | 10 | 5.09e-01 | 2 | [13C2]596;5.7e-01;1.9e-03;0.85 [M+H+CF3COOH]:1273;-1.6e+00;3.8e-03;0.95 | 0 | 0 | NA | |||||
| 586 | 209.107 | 208.099 | 919.2 | 2.3 | 9 | 10 | 3.86e-04 | 1 | [13C1]594;8.93e-02;1.63e-04;1.00 | 0 | 0 | NA | |||||
| 632 | 217.177 | 216.17 | 1623.3 | 1.03 | 9 | 10 | 7.69e-01 | 2 | [13C1]637;-2.91e-01;1.43e-03;0.99 [M+Na]:773;5.6e-01;1.8e-03;0.97 | 0 | 1 | HMDB00387:2.4e-03/Fatty Acid Oxidati | |||||
| 640 | 219.022 | 218.015 | 363.6 | 0.91 | 9 | 10 | 2.55e-01 | 2 | [13C1]646;1.41e+00;2.49e-03;0.91 [M-CO2]:400;2.1e+00;6.1e-04;0.86 | 2 | [M+Na]526;6.80e-01;1.01e-06;0.72 [M+Na+HCOOH]285;2.53e+00;3.19e-04;0.73 | 0 | NA | ||||
| 644 | 219.174 | 218.167 | 1103.1 | 1.45 | 9 | 10 | 2.02e-01 | 1 | [13C1]653;-8.07e-01;2.79e-03;0.88 | 0 | 0 | NA | |||||
| 645 | 219.174 | 218.167 | 1782.3 | 1.25 | 9 | 10 | 2.05e-01 | 1 | [13C1]652;3.85e-01;5.77e-03;0.98 | 0 | 0 | NA | |||||
| 665 | 222.17 | 221.162 | 1344.7 | 1.12 | 9 | 10 | 1.08e-01 | 1 | [13C2]677;4.2e-02;4.3e-03;0.92 | 1 | [M+NH4]569;7.67e-02;3.24e-04;1.00 | 1 | HMDB15299:9.6e-03/Cytochrome P450 1B1 | ||||
| 666 | 222.873 | 221.866 | 400.6 | 1.07 | 9 | 10 | 1.73e-01 | 2 | [13C2]680;9.6e-01;5.2e-03;0.82 [M+Na+HCOOH]:1036;-6.7e-01;7.0e-03;0.85 | 0 | 0 | NA | |||||
| 668 | 223.096 | 222.089 | 1481.8 | 1.09 | 9 | 10 | 2.11e-01 | 3 | [13C1]673;-2.39e-02;9.21e-04;0.99 [M+3H]:684;-5.2e-01;5.5e-03;0.87 [M+Na]:803;-6.4e-02;6.6e-04;0.93 | 0 | 2 | HMDB02056:8.9e-05/Monoisobutyl phtha HMDB29226:8.9e-05/5'-(3'-Methoxy-4'- | |||||
| 692 | 226.951 | 225.944 | 391.2 | 1 | 9 | 10 | 9.26e-01 | 3 | [13C1]696;3.09e-01;1.86e-04;0.88 [13C2]702;-1.3e-01;1.9e-03;0.74 [M+Na+HCOOH]:1053;-6.1e-01;7.4e-05;0.78 | 0 | 0 | NA | |||||
| 694 | 227.126 | 226.119 | 1344.9 | 1.1 | 9 | 10 | 1.35e-01 | 1 | [13C1]698;-1.21e-01;1.12e-03;0.97 | 1 | [M+Na]569;1.21e-01;6.28e-04;0.99 | 2 | HMDB59729:1.8e-03/3,4-Methylenesebac HMDB15146:8.1e-03/Cytochrome P450 11 | ||||
| 700 | 228.196 | 227.189 | 1296 | 1.05 | 9 | 10 | 2.63e-01 | 1 | [13C1]709;6.52e-01;8.88e-03;0.92 | 0 | 0 | NA | |||||
| 718 | 231.134 | 230.127 | 421.2 | 1.19 | 9 | 10 | 3.82e-01 | 2 | [13C1]726;1.75e-02;2.00e-03;0.82 [M+Na]:847;-1.0e+00;2.1e-03;0.89 | 0 | 0 | NA | |||||
| 721 | 231.229 | 230.222 | 1390.5 | 1 | 9 | 10 | 9.98e-01 | 1 | [13C1]729;-6.18e-01;1.12e-03;0.94 | 0 | 0 | NA | |||||
| 733 | 233.139 | 232.132 | 1050 | 4.09 | 9 | 10 | 3.98e-03 | 3 | [13C1]741;0.00e+00;4.28e-04;1.00 [M+NH4]:831;-2.8e-02;1.5e-03;1.00 [M+Na]:856;0.0e+00;9.9e-04;0.99 | 0 | 0 | NA | |||||
| 750 | 235.17 | 234.162 | 1777.3 | 1.43 | 9 | 10 | 2.10e-01 | 1 | [13C1]757;0.00e+00;1.70e-03;1.00 | 0 | 0 | NA | |||||
| 773 | 239.161 | 238.154 | 1623.9 | 1 | 9 | 10 | 9.50e-01 | 1 | [13C1]779;2.71e-01;4.06e-03;0.76 | 1 | [M+Na]632;5.59e-01;1.76e-03;0.97 | 0 | NA | ||||
| 774 | 239.162 | 238.155 | 1579.8 | 1.03 | 9 | 10 | 6.01e-01 | 1 | [13C1]780;-2.40e-01;2.96e-03;0.93 | 0 | 0 | NA | |||||
| 795 | 243.204 | 242.197 | 1497.8 | 1.55 | 9 | 10 | 1.97e-01 | 1 | [13C1]798;1.10e-01;1.75e-04;1.00 | 0 | 0 | NA | |||||
| 797 | 244.19 | 243.182 | 1157 | 1.11 | 9 | 10 | 4.30e-01 | 3 | [13C1]806;-2.70e-01;8.11e-03;0.98 [M+Na]:909;-1.4e-01;5.1e-03;0.91 [M-NH3]:690;-3.5e-01;3.3e-03;0.87 | 0 | 0 | NA | |||||
| 799 | 244.264 | 243.257 | 1234.2 | 0.95 | 9 | 10 | 5.96e-01 | 1 | [13C1]808;-3.02e-01;2.65e-05;0.99 | 0 | 0 | NA | |||||
| 800 | 244.264 | 243.257 | 1268.4 | 0.68 | 9 | 10 | 1.13e-02 | 1 | [13C1]807;-2.78e-02;2.80e-05;1.00 | 0 | 0 | NA | |||||
| 803 | 245.079 | 244.072 | 1481.8 | 1.06 | 9 | 10 | 3.13e-01 | 1 | [13C1]810;-1.58e-01;3.34e-03;0.96 | 1 | [M+Na]668;6.44e-02;6.64e-04;0.93 | 4 | HMDB00296:2.2e-03/Uridine phosphoryl HMDB06075:2.2e-03/Pseudouridine-5'-m HMDB15063:9.0e-03/DNA (cytosine-5)-m HMDB14949:9.0e-03/Solute carrier fam | ||||
| 817 | 247.144 | 246.137 | 949.7 | 0.87 | 9 | 10 | 6.95e-01 | 1 | [13C1]820;1.67e-01;9.47e-05;1.00 | 0 | 0 | NA | |||||
| 818 | 247.154 | 246.147 | 1093.1 | 4.01 | 9 | 10 | 7.57e-03 | 3 | [13C1]821;0.00e+00;2.26e-03;1.00 [M+H+NH4]:904;1.0e+00;9.6e-03;0.98 [M+Na]:929;-1.0e-01;9.9e-04;0.99 | 0 | 0 | NA | |||||
| 837 | 251.13 | 250.123 | 1407.9 | 1.4 | 9 | 10 | 7.88e-02 | 1 | [13C1]844;-2.65e-01;4.19e-03;0.97 | 0 | 3 | HMDB02012:2.0e-03/Cytochrome b-c1 co HMDB15443:9.2e-03/Gamma-aminobutyric HMDB60742:9.2e-03/3-Hydroxymelatonin | |||||
| 846 | 253.01 | 252.003 | 367.1 | 0.84 | 9 | 10 | 6.15e-01 | 1 | [13C1]850;-9.57e-01;5.50e-03;0.99 | 0 | 0 | NA | |||||
| 849 | 253.169 | 252.162 | 1683.8 | 1.5 | 9 | 10 | 1.27e-01 | 2 | [13C1]854;-8.83e-01;3.02e-03;1.00 [M+Na]:966;-2.2e+00;9.6e-03;0.94 | 0 | 0 | NA | |||||
| 859 | 255.583 | 254.576 | 1482.8 | 0.91 | 9 | 10 | 2.97e-01 | 1 | [13C1]861;-2.33e-01;2.20e-04;0.85 | 0 | 0 | NA | |||||
| 860 | 256.297 | 255.29 | 1391.4 | 1.03 | 9 | 10 | 8.42e-01 | 1 | [13C1]867;2.57e-01;1.57e-05;0.95 | 0 | 0 | NA | |||||
| 875 | 259.185 | 258.178 | 1728.2 | 1.56 | 9 | 10 | 1.81e-01 | 1 | [13C1]879;2.41e-02;9.43e-04;1.00 | 0 | 1 | HMDB00872:5.6e-03/Tetradecanedioic a | |||||
| 882 | 261.006 | 259.999 | 418.2 | 1.03 | 9 | 10 | 5.72e-01 | 2 | [13C1]885;2.74e-01;1.46e-04;0.86 [M+3H]:889;2.2e+00;6.2e-03;0.85 | 0 | 2 | HMDB41706:1.5e-04/Caffeic acid 3-sul HMDB41708:1.5e-04/Caffeic acid 4-sul | |||||
| 883 | 261.141 | 260.134 | 930.6 | 1.45 | 9 | 10 | 1.67e-02 | 1 | [13C1]886;1.79e+00;3.76e-03;0.98 | 0 | 0 | NA | |||||
| 884 | 261.176 | 260.169 | 1731.2 | 1.07 | 9 | 10 | 6.37e-01 | 1 | [13C1]888;2.26e-01;3.84e-03;0.88 | 0 | 1 | HMDB14539:5.0e-03/Cytochrome P450 2C | |||||
| 887 | 262.172 | 261.165 | 365 | 0.94 | 9 | 10 | 4.45e-01 | 1 | [13C1]893;1.09e-01;3.96e-03;0.97 | 0 | 1 | HMDB14616:8.3e-03/Sodium channel pro | |||||
| 901 | 265.118 | 264.111 | 967.5 | 1.37 | 9 | 10 | 2.75e-02 | 1 | [13C1]907;-8.17e-01;2.50e-03;0.98 | 0 | 3 | HMDB06344:1.4e-04/Phenylacetate Meta HMDB61136:1.4e-04/di-Hydroxymelatonin HMDB04259:1.4e-04/Indoleamine 2,3-di | |||||
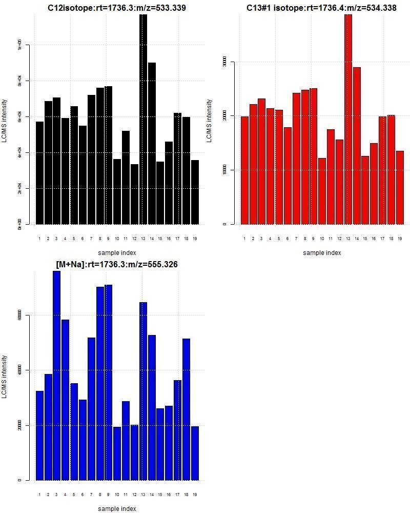
| 919 | 267.173 | 266.165 | 1736.4 | 1.13 | 9 | 10 | 1.85e-01 | 3 | [13C1]924;1.94e-02;1.52e-03;0.98 [13C2]933;8.2e-01;1.1e-03;0.88 [M+Na]:1030;1.5e-02;4.2e-06;0.98 | 0 | 2 | HMDB01924:2.4e-03/Beta-1 adrenergic HMDB15411:2.4e-03/Beta-1 adrenergic | |||||
| 920 | 267.269 | 266.262 | 1785.5 | 1.12 | 9 | 10 | 3.74e-01 | 1 | [13C1]925;-1.52e-01;2.92e-04;0.99 | 0 | 0 | NA | |||||
| 924 | 268.175 | 267.167 | 1736.4 | 1.09 | 9 | 10 | 2.46e-01 | 1 | [13C1]933;8.02e-01;4.36e-04;0.93 | 1 | [13C#1]919;1.94e-02;1.52e-03;0.98 | 0 | NA | ||||
| 927 | 269.044 | 268.037 | 963.8 | 1.32 | 9 | 10 | 2.35e-01 | 1 | [13C1]934;-2.31e-01;2.43e-03;0.98 | 0 | 1 | HMDB02326:4.0e-04/Coumesterol | |||||
| 950 | 272.295 | 271.288 | 1398.3 | 0.82 | 9 | 10 | 8.97e-02 | 1 | [13C1]957;-2.72e-03;8.39e-04;0.99 | 0 | 0 | NA | |||||
| 951 | 272.295 | 271.288 | 1438.1 | 0.58 | 9 | 10 | 1.48e-02 | 1 | [13C1]958;0.00e+00;6.90e-04;1.00 | 0 | 0 | NA | |||||
| 974 | 276.161 | 275.153 | 1699.7 | 1.18 | 9 | 10 | 3.38e-01 | 1 | [13C1]981;-2.86e-01;1.36e-03;0.97 | 0 | 3 | HMDB60989:1.3e-03/4'-hydroxypropanol HMDB03869:5.3e-03/Alzheimer's disease HMDB15116:1.0e-02/Acetylcholinestera | |||||
| 986 | 279.233 | 278.226 | 1725 | 1.1 | 9 | 10 | 8.54e-01 | 1 | [13C1]990;9.13e-02;6.33e-03;1.00 | 0 | 2 | HMDB01388:1.0e-03/Phospholipase B1, HMDB03073:1.0e-03/Acyl-coenzyme A th | |||||
| 994 | 281.114 | 280.107 | 936.1 | 1.13 | 9 | 10 | 6.04e-01 | 1 | [13C1]999;-9.94e-01;8.10e-03;0.97 | 0 | 3 | HMDB15058:2.8e-04/ATP-sensitive inwa HMDB06113:1.1e-03/L-Aspartyl-L-pheny HMDB15081:3.0e-03/Vitamin K epoxide | |||||
| 1015 | 286.199 | 285.192 | 1004 | 1.33 | 9 | 10 | 3.18e-01 | 1 | [13C1]1022;-8.70e-01;3.84e-03;0.97 | 0 | 2 | HMDB13324:2.2e-03/2-Octenoylcarnitine HMDB15639:7.7e-03/Histamine H1 recep | |||||
| 1017 | 286.274 | 285.267 | 1305.1 | 0.67 | 9 | 10 | 2.04e-02 | 1 | [13C1]1024;-2.64e-01;4.44e-03;1.00 | 0 | 0 | NA | |||||
| 1029 | 288.293 | 287.286 | 1250.5 | 0.94 | 9 | 10 | 5.02e-01 | 2 | [13C1]1031;7.24e-01;3.29e-03;0.98 [13C2]1034;7.2e-01;3.8e-03;0.97 | 0 | 0 | NA | |||||
| 1030 | 289.155 | 288.147 | 1736.4 | 1.11 | 9 | 10 | 2.07e-01 | 1 | [13C1]1033;-4.55e-02;2.05e-03;0.98 | 1 | [M+Na]919;1.45e-02;4.16e-06;0.98 | 0 | NA | ||||
| 1031 | 289.293 | 288.286 | 1251.2 | 0.88 | 9 | 10 | 3.87e-01 | 2 | [13C1]1034;0.00e+00;5.15e-04;1.00 [13C2]1040;-9.6e-02;1.8e-03;1.00 | 1 | [13C#1]1029;7.24e-01;3.29e-03;0.98 | 0 | NA | ||||
| 1034 | 290.296 | 289.289 | 1251.2 | 0.88 | 9 | 10 | 4.14e-01 | 2 | [13C1]1040;-9.63e-02;1.25e-03;1.00 [13C2]1048;3.9e-01;4.5e-03;0.90 | 2 | [13C#1]1031;0.00e+00;5.15e-04;1.00 [13C#2]1029;7.24e-01;1.00e+00;0.97 | 0 | NA | ||||
| 1039 | 291.196 | 290.188 | 1699.7 | 1.18 | 9 | 10 | 3.27e-01 | 1 | [13C1]1046;-8.32e-02;1.55e-03;1.00 | 0 | 0 | NA | |||||
| 1040 | 291.298 | 290.291 | 1251.1 | 0.89 | 9 | 10 | 4.30e-01 | 1 | [13C1]1048;4.81e-01;3.21e-03;0.88 | 2 | [13C#1]1034;9.63e-02;1.25e-03;1.00 [13C#2]1031;9.63e-02;1.00e+00;1.00 | 0 | NA | ||||
| 1070 | 297.172 | 296.164 | 1212.8 | 2.19 | 9 | 10 | 9.49e-02 | 1 | [13C1]1074;-4.70e-01;5.91e-03;0.99 | 0 | 0 | NA | |||||
| 1088 | 300.29 | 299.283 | 1379.4 | 0.85 | 9 | 10 | 2.75e-01 | 1 | [13C1]1094;-4.71e-01;4.29e-03;0.95 | 0 | 2 | HMDB00252:1.4e-04/Ceramide synthase 6 HMDB02100:1.4e-04/Palmitoylethanolam | |||||
| 1089 | 301.075 | 300.067 | 384.4 | 1 | 9 | 10 | 7.70e-01 | 1 | [13C1]1096;1.43e-01;2.84e-03;0.72 | 0 | 2 | HMDB14376:7.0e-04/Gamma-aminobutyric HMDB14493:7.0e-04/Gamma-aminobutyric | |||||
| 1091 | 301.209 | 300.202 | 1464.3 | 0.93 | 9 | 10 | 8.60e-01 | 2 | [13C1]1099;-1.11e-01;4.42e-03;1.00 [M+NH3]:1162;-3.0e+00;5.1e-04;0.90 | 0 | 3 | HMDB02369:6.8e-03/Retinoic acid rece HMDB01852:6.8e-03/UDP-glucuronosyltr HMDB06219:6.8e-03/Retinal dehydrogen | |||||
| 1109 | 303.234 | 302.226 | 1791.3 | 0.79 | 9 | 10 | 5.17e-01 | 1 | [13C1]1112;-1.65e-02;2.64e-04;1.00 | 0 | 3 | HMDB01999:1.8e-03/Acyl-coenzyme A th HMDB03598:1.8e-03/Diacylglycerol O-a HMDB15655:1.8e-03/Solute carrier org | |||||
| 1113 | 304.284 | 303.277 | 1270.1 | 1.08 | 9 | 10 | 6.54e-01 | 1 | [13C1]1119;-5.74e-02;3.73e-04;1.00 | 0 | 0 | NA | |||||
| 1120 | 306.245 | 305.237 | 1103.1 | 1.26 | 9 | 10 | 1.50e-01 | 2 | [13C1]1121;-2.66e-02;2.23e-03;0.93 [13C2]1123;-9.4e-02;4.7e-03;0.89 | 0 | 0 | NA | |||||
| 1121 | 307.246 | 306.239 | 1103.1 | 1.41 | 9 | 10 | 1.98e-01 | 2 | [13C1]1123;-6.72e-02;2.48e-03;1.00 [13C2]1129;-2.9e-01;9.2e-03;0.99 | 1 | [13C#1]1120;2.66e-02;2.23e-03;0.93 | 0 | NA | ||||
| 1123 | 308.247 | 307.239 | 1103 | 1.44 | 9 | 10 | 2.12e-01 | 1 | [13C1]1129;-2.26e-01;6.74e-03;1.00 | 2 | [13C#1]1121;6.72e-02;2.48e-03;1.00 [13C#2]1120;9.38e-02;9.99e-01;0.89 | 0 | NA | ||||
| 1141 | 313.154 | 312.147 | 968.7 | 1.03 | 9 | 10 | 8.64e-01 | 2 | [13C1]1143;1.39e-01;9.77e-05;1.00 [13C2]1149;1.6e-01;1.8e-03;1.00 | 0 | 1 | HMDB13302:3.9e-04/Phenylalanylphenyl | |||||
| 1143 | 314.158 | 313.15 | 968.9 | 1.03 | 9 | 10 | 8.66e-01 | 1 | [13C1]1149;1.62e-02;1.74e-03;1.00 | 1 | [13C#1]1141;1.39e-01;9.77e-05;1.00 | 0 | NA | ||||
| 1144 | 314.232 | 313.225 | 1090.7 | 1.26 | 9 | 10 | 2.95e-01 | 1 | [13C1]1152;1.18e+00;5.92e-03;0.98 | 0 | 1 | HMDB13205:5.1e-04/9-Decenoylcarnitine | |||||
| 1158 | 316.322 | 315.315 | 1420.6 | 0.79 | 9 | 10 | 1.14e-01 | 3 | [13C1]1163;-8.47e-02;8.17e-04;0.99 [13C2]1167;-2.0e-01;1.3e-03;0.98 [M+Na]:1253;2.0e+00;5.3e-04;0.71 | 0 | 0 | NA | |||||
| 1159 | 316.661 | 315.654 | 1654.6 | 0.84 | 9 | 10 | 1.21e-01 | 1 | [13C1]1164;8.11e-01;2.29e-03;0.89 | 0 | 0 | NA | |||||
| 1161 | 317.205 | 316.198 | 939.7 | 3.49 | 9 | 10 | 7.13e-03 | 2 | [13C1]1166;8.46e-02;4.29e-03;0.99 [M+Na]:1256;-1.5e+00;2.2e-03;0.95 | 0 | 5 | HMDB05079:6.1e-03/Arachidonic Acid M HMDB61095:6.1e-03/18-Hydroxyretinoic HMDB06254:6.1e-03/Retinol Metabolism HMDB12451:6.1e-03/Retinol Metabolism HMDB60004:9.1e-03/Menthol-glucoronide | |||||
| 1163 | 317.324 | 316.317 | 1420.5 | 0.77 | 9 | 10 | 1.16e-01 | 1 | [13C1]1167;-1.17e-01;5.16e-04;1.00 | 1 | [13C#1]1158;8.47e-02;8.17e-04;0.99 | 0 | NA | ||||
| 1169 | 319.226 | 318.219 | 1464.4 | 0.93 | 9 | 10 | 8.66e-01 | 1 | [13C1]1174;-7.98e-02;1.50e-03;1.00 | 0 | 10 | HMDB12611:3.2e-04/18R-HEPE HMDB05081:3.2e-04/5-HEPE HMDB10210:3.2e-04/15-KETE HMDB10209:3.2e-04/15-HEPE HMDB10205:3.2e-04/14,15-EpETE HMDB10202:3.2e-04/12-HEPE HMDB60053:3.2e-04/9-HEPE HMDB13633:3.2e-04/Arachidonic Acid M HMDB10217:3.2e-04/Arachidonic Acid M HMDB10212:3.2e-04/17,18-EpETE | |||||
| 1170 | 319.228 | 318.221 | 1787.5 | 0.79 | 9 | 10 | 5.69e-01 | 1 | [13C1]1176;8.48e-01;5.93e-03;0.98 | 0 | 10 | HMDB12611:1.0e-03/18R-HEPE HMDB05081:1.0e-03/5-HEPE HMDB10210:1.0e-03/15-KETE HMDB10209:1.0e-03/15-HEPE HMDB10205:1.0e-03/14,15-EpETE HMDB10202:1.0e-03/12-HEPE HMDB60053:1.0e-03/9-HEPE HMDB13633:1.0e-03/Arachidonic Acid M HMDB10217:1.0e-03/Arachidonic Acid M HMDB10212:1.0e-03/17,18-EpETE | |||||
| 1188 | 325.111 | 324.104 | 414.7 | 1.33 | 9 | 10 | 2.28e-03 | 1 | [13C1]1194;-6.31e-02;3.63e-04;0.99 | 0 | 8 | HMDB15527:1.1e-03/Gamma-aminobutyric HMDB13882:4.3e-03/R-4'-Hydroxywarfar HMDB13884:4.3e-03/R-10-Hydroxywarfar HMDB13881:4.3e-03/S-4'-Hydroxywarfar HMDB13883:4.3e-03/R-6-Hydroxywarfarin HMDB13885:4.3e-03/R-8-Hydroxywarfarin HMDB13880:4.3e-03/Vitamin K epoxide HMDB13886:4.3e-03/R-7-Hydroxywarfarin | |||||
| 1203 | 328.285 | 327.278 | 1408 | 1.4 | 9 | 10 | 2.08e-01 | 2 | [13C1]1205;-1.18e-01;4.39e-04;0.98 [13C2]1209;-1.9e-01;1.8e-03;0.97 | 0 | 0 | NA | |||||
| 1205 | 329.288 | 328.281 | 1407.9 | 1.54 | 9 | 10 | 2.39e-01 | 2 | [13C1]1209;-6.99e-02;1.40e-03;1.00 [13C2]1217;-1.6e-01;8.6e-03;1.00 | 1 | [13C#1]1203;1.18e-01;4.39e-04;0.98 | 0 | NA | ||||
| 1207 | 330.182 | 329.175 | 1736.5 | 1.11 | 9 | 10 | 2.29e-01 | 1 | [13C1]1214;7.15e-01;2.19e-03;0.99 | 0 | 0 | NA | |||||
| 1209 | 330.29 | 329.283 | 1407.8 | 1.56 | 9 | 10 | 2.44e-01 | 1 | [13C1]1217;-9.17e-02;7.16e-03;1.00 | 2 | [13C#1]1205;6.99e-02;1.40e-03;1.00 [13C#2]1203;1.88e-01;1.00e+00;0.97 | 0 | NA | ||||
| 1213 | 331.17 | 330.163 | 913.3 | 1.13 | 9 | 10 | 1.79e-01 | 1 | [13C1]1219;5.70e-01;1.32e-03;0.95 | 0 | 0 | NA | |||||
| 1223 | 332.315 | 331.308 | 1434.3 | 0.91 | 9 | 10 | 5.97e-01 | 1 | [13C1]1231;0.00e+00;7.38e-04;1.00 | 0 | 0 | NA | |||||
| 1224 | 332.315 | 331.308 | 1264 | 0.92 | 9 | 10 | 6.06e-01 | 2 | [13C1]1230;5.64e-02;1.10e-03;1.00 [13C2]1235;3.1e-01;9.1e-03;0.97 | 0 | 0 | NA | |||||
| 1230 | 333.318 | 332.31 | 1264 | 0.93 | 9 | 10 | 6.05e-01 | 1 | [13C1]1235;2.49e-01;7.97e-03;0.97 | 1 | [13C#1]1224;5.64e-02;1.10e-03;1.00 | 0 | NA | ||||
| 1233 | 334.237 | 333.23 | 1105.9 | 2.64 | 9 | 10 | 3.89e-02 | 1 | [13C1]1239;0.00e+00;1.05e-03;1.00 | 0 | 0 | NA | |||||
| 1238 | 335.211 | 334.204 | 1736.4 | 1.03 | 9 | 10 | 8.72e-01 | 1 | [13C1]1242;1.94e-02;5.32e-03;1.00 | 0 | 0 | NA | |||||
| 1245 | 337.063 | 336.056 | 448.8 | 1.08 | 9 | 10 | 6.84e-01 | 1 | [13C1]1249;1.17e-01;3.95e-03;0.94 | 0 | 2 | HMDB59977:4.6e-03/4-Hydroxy-5-(dihyd HMDB14411:7.3e-03/Vitamin K epoxide | |||||
| 1246 | 337.064 | 336.057 | 601.4 | 1.26 | 9 | 10 | 1.92e-01 | 2 | [13C1]1248;-1.23e-01;2.91e-03;1.00 [M+Na]:1335;1.3e-01;6.4e-05;0.97 | 0 | 2 | HMDB59977:5.2e-03/4-Hydroxy-5-(dihyd HMDB14411:6.7e-03/Vitamin K epoxide | |||||
| 1259 | 340.056 | 339.049 | 842.8 | 0.9 | 8 | 10 | 4.07e-01 | 1 | [13C1]1262;-6.46e-01;2.24e-03;0.79 | 0 | 1 | HMDB15484:3.3e-03/Solute carrier fam | |||||
| 1260 | 340.259 | 339.252 | 968.2 | 1.1 | 9 | 10 | 1.56e-01 | 1 | [13C1]1264;-1.11e+00;1.22e-04;1.00 | 0 | 0 | NA | |||||
| 1265 | 341.305 | 340.298 | 1785.5 | 1.17 | 9 | 10 | 4.97e-01 | 2 | [13C1]1272;-5.49e-03;2.77e-04;1.00 [M+NH4+HCOOH]:1508;1.9e+00;5.0e-03;0.96 | 0 | 0 | NA | |||||
| 1267 | 342.103 | 341.096 | 1633.7 | 1 | 9 | 10 | 9.52e-01 | 1 | [13C1]1274;-1.22e+00;2.17e-04;0.76 | 0 | 0 | NA | |||||
| 1268 | 342.158 | 341.151 | 913 | 1.03 | 9 | 10 | 8.93e-01 | 1 | [13C1]1275;2.65e-03;4.63e-03;1.00 | 0 | 2 | HMDB14535:9.7e-03/D(3) dopamine rece HMDB15135:9.7e-03/Solute carrier fam | |||||
| 1282 | 344.273 | 343.266 | 1273 | 1.22 | 9 | 10 | 4.79e-01 | 1 | [13C1]1290;1.81e-01;2.07e-03;0.88 | 0 | 1 | HMDB02250:6.3e-03/Very Long Chain Ac | |||||
| 1285 | 344.352 | 343.345 | 1615 | 0.58 | 9 | 10 | 4.03e-02 | 1 | [13C1]1291;-5.29e-01;2.23e-03;0.92 | 0 | 0 | NA | |||||
| 1310 | 352.185 | 351.177 | 974.9 | 0.8 | 9 | 10 | 1.51e-01 | 1 | [13C1]1314;-2.21e-02;5.76e-03;0.99 | 0 | 2 | HMDB15605:6.1e-03/Retinoic acid rece HMDB14808:7.8e-03/Muscarinic acetylc | |||||
| 1316 | 354.287 | 353.28 | 1646.4 | 1.03 | 9 | 10 | 6.37e-01 | 2 | [13C1]1319;-9.53e-02;3.37e-04;1.00 [13C2]1323;-4.7e-01;6.8e-04;0.94 | 0 | 0 | NA | |||||
| 1319 | 355.29 | 354.283 | 1646.3 | 1.03 | 9 | 10 | 6.69e-01 | 1 | [13C1]1323;-3.70e-01;1.01e-03;0.94 | 1 | [13C#1]1316;9.53e-02;3.37e-04;1.00 | 2 | HMDB11538:5.6e-03/Ectonucleotide pyr HMDB11568:5.6e-03/Ectonucleotide pyr | ||||
| 1325 | 357.276 | 356.269 | 1560.7 | 0.43 | 9 | 10 | 1.81e-02 | 1 | [13C1]1332;4.39e-01;2.64e-04;1.00 | 0 | 0 | NA | |||||
| 1337 | 359.242 | 358.234 | 1646.5 | 1.03 | 9 | 10 | 6.91e-01 | 2 | [13C1]1341;-1.47e-01;4.77e-05;0.99 [13C2]1346;-7.0e-01;2.1e-03;0.73 | 0 | 0 | NA | |||||
| 1338 | 359.316 | 358.309 | 1785.4 | 1.13 | 9 | 10 | 3.69e-01 | 5 | [13C1]1342;0.00e+00;2.35e-04;1.00 [13C2]1347;0.0e+00;5.7e-04;1.00 [M+NH4]:1408;1.0e+00;2.5e-04;0.99 [M+Na]:1427;9.1e-01;4.9e-04;0.98 [M+K]:1476;8.8e-01;6.4e-04;0.95 | 0 | 0 | NA | |||||
| 1341 | 360.245 | 359.238 | 1646.4 | 1.04 | 9 | 10 | 6.09e-01 | 1 | [13C1]1346;-5.50e-01;2.10e-03;0.74 | 1 | [13C#1]1337;1.47e-01;4.77e-05;0.99 | 0 | NA | ||||
| 1342 | 360.32 | 359.312 | 1785.4 | 1.15 | 9 | 10 | 3.85e-01 | 1 | [13C1]1347;0.00e+00;3.36e-04;1.00 | 1 | [13C#1]1338;0.00e+00;2.35e-04;1.00 | 0 | NA | ||||
| 1343 | 360.333 | 359.325 | 1431.1 | 1.02 | 9 | 10 | 8.73e-01 | 1 | [13C1]1348;-2.41e-01;1.66e-03;0.94 | 0 | 0 | NA | |||||
| 1350 | 362.241 | 361.233 | 958.1 | 1.03 | 9 | 10 | 1.71e-01 | 1 | [13C1]1354;-1.81e-02;3.82e-04;0.95 | 0 | 0 | NA | |||||
| 1352 | 362.926 | 361.919 | 390.4 | 0.99 | 9 | 10 | 4.02e-01 | 2 | [13C1]1356;-1.44e-02;1.16e-05;0.81 [M+Na+HCOOH]:1616;-2.1e-02;1.2e-04;0.95 | 0 | 0 | NA | |||||
| 1353 | 363.217 | 362.21 | 1096.3 | 0.66 | 9 | 10 | 1.01e-01 | 1 | [13C1]1357;-1.74e-01;6.14e-04;0.99 | 0 | 3 | HMDB00063:4.9e-04/Corticosteroid 11- HMDB14879:4.9e-04/Steroid 21-hydroxy HMDB00319:4.9e-04/Cytochrome P450 11 | |||||
| 1362 | 365.241 | 364.233 | 1045.7 | 2.46 | 9 | 10 | 9.56e-02 | 1 | [13C1]1366;9.88e-01;5.27e-04;1.00 | 0 | 2 | HMDB15579:6.7e-03/Estrogen receptor HMDB00903:8.5e-03/Aldo-keto reductas | |||||
| 1371 | 368.035 | 367.028 | 1630 | 1.36 | 9 | 10 | 3.90e-02 | 1 | [13C2]1377;5.7e-01;9.3e-03;0.97 | 0 | 1 | HMDB60780:2.0e-03/5'-Hydroxymethyl m | |||||
| 1390 | 372.312 | 371.305 | 1788.1 | 0.93 | 9 | 10 | 6.78e-01 | 2 | [13C1]1396;-5.76e-01;6.87e-03;0.97 [M+Na]:1467;-3.6e-01;4.0e-03;0.93 | 0 | 1 | HMDB05066:1.1e-03/Very Long Chain Ac | |||||
| 1396 | 373.308 | 372.301 | 1787.5 | 0.95 | 9 | 10 | 6.60e-01 | 1 | [13C1]1399;-1.05e-01;7.72e-03;0.92 | 1 | [13C#1]1390;5.76e-01;6.87e-03;0.97 | 0 | NA | ||||
| 1403 | 375.215 | 374.208 | 1646.8 | 0.98 | 9 | 10 | 5.14e-01 | 2 | [13C1]1407;-5.17e-01;2.37e-03;0.71 [13C2]1411;-1.2e+00;5.7e-03;0.73 | 0 | 1 | HMDB15094:1.3e-03/Multidrug resistan | |||||
| 1407 | 376.216 | 375.209 | 1646.3 | 1 | 9 | 10 | 9.93e-01 | 1 | [13C1]1411;-7.01e-01;3.33e-03;0.88 | 1 | [13C#1]1403;5.17e-01;2.37e-03;0.71 | 0 | NA | ||||
| 1408 | 376.343 | 375.335 | 1786.4 | 1.2 | 9 | 10 | 2.70e-01 | 3 | [13C1]1412;0.00e+00;8.05e-06;1.00 [13C2]1416;-9.7e-02;2.3e-05;1.00 [M+H+K]:1553;1.2e+00;3.1e-03;0.79 | 1 | [M+NH4]1338;1.01e+00;2.53e-04;0.99 | 0 | NA | ||||
| 1409 | 376.922 | 375.915 | 420.6 | 0.95 | 9 | 10 | 4.45e-01 | 1 | [13C1]1413;4.66e-01;5.61e-04;0.95 | 0 | 0 | NA | |||||
| 1410 | 377.216 | 376.209 | 1050.3 | 9.19 | 9 | 10 | 1.27e-01 | 2 | [13C1]1415;-1.40e-01;1.84e-04;1.00 [M+Na]:1480;-2.2e-01;4.0e-03;1.00 | 0 | 4 | HMDB14687:4.0e-03/Desoximetasone HMDB14469:4.0e-03/Cytochrome P450 3A4 HMDB14722:9.1e-03/Solute carrier fam HMDB15036:9.1e-03/Kappa-type opioid | |||||
| 1412 | 377.346 | 376.339 | 1786.4 | 1.2 | 9 | 10 | 2.54e-01 | 1 | [13C1]1416;-9.68e-02;3.06e-05;1.00 | 1 | [13C#1]1408;0.00e+00;8.05e-06;1.00 | 0 | NA | ||||
| 1418 | 378.899 | 377.892 | 390.5 | 1 | 9 | 10 | 9.09e-01 | 2 | [13C1]1422;-3.75e-02;6.52e-04;0.85 [M+Na+HCOOH]:1682;6.8e-01;8.2e-04;0.95 | 0 | 0 | NA | |||||
| 1427 | 381.299 | 380.292 | 1786.3 | 1.18 | 9 | 10 | 4.21e-01 | 3 | [13C1]1428;-9.27e-03;6.97e-05;1.00 [13C2]1430;0.0e+00;1.0e-04;1.00 [M-NH3]:1355;-3.0e+00;1.3e-03;0.71 | 1 | [M+Na]1338;9.11e-01;4.90e-04;0.98 | 0 | NA | ||||
| 1428 | 382.302 | 381.295 | 1786.3 | 1.18 | 9 | 10 | 4.37e-01 | 2 | [13C1]1430;9.27e-03;1.70e-04;1.00 [13C2]1436;4.1e-02;8.1e-03;0.97 | 1 | [13C#1]1427;9.27e-03;6.97e-05;1.00 | 0 | NA | ||||
| 1429 | 383.114 | 382.107 | 415.1 | 1.1 | 9 | 10 | 1.83e-01 | 2 | [13C1]1432;5.07e-03;4.91e-05;0.99 [13C2]1437;-8.5e-03;1.6e-03;0.85 | 0 | 0 | NA | |||||
| 1430 | 383.305 | 382.298 | 1786.3 | 1.15 | 9 | 10 | 4.64e-01 | 2 | [13C1]1436;3.16e-02;8.27e-03;0.97 [13C2]1440;-7.6e-01;2.8e-04;0.95 | 2 | [13C#1]1428;9.27e-03;1.70e-04;1.00 [13C#2]1427;0.00e+00;1.00e+00;1.00 | 0 | NA | ||||
| 1432 | 384.117 | 383.11 | 415.1 | 1.1 | 9 | 10 | 1.59e-01 | 1 | [13C1]1437;-1.36e-02;1.57e-03;0.85 | 1 | [13C#1]1429;5.07e-03;4.91e-05;0.99 | 1 | HMDB00912:2.2e-03/Autism | ||||
| 1433 | 384.26 | 383.253 | 1195.2 | 2.06 | 9 | 10 | 3.90e-02 | 1 | [13C1]1438;-3.57e-01;5.14e-03;0.99 | 0 | 0 | NA | |||||
| 1436 | 384.317 | 383.31 | 1786.4 | 1.05 | 9 | 10 | 6.80e-01 | 1 | [13C1]1440;-7.97e-01;8.55e-03;0.97 | 2 | [13C#1]1430;3.16e-02;8.27e-03;0.97 [13C#2]1428;4.09e-02;1.01e+00;0.97 | 0 | NA | ||||
| 1444 | 387.193 | 386.186 | 1449.7 | 1.08 | 9 | 10 | 4.81e-01 | 4 | [13C1]1447;0.00e+00;9.19e-03;0.99 [M+NH4]:1505;5.5e-02;2.5e-03;0.99 [M+Na]:1521;6.3e-01;8.6e-03;0.83 [M+NH4+HCOOH]:1700;3.1e-01;1.4e-03;0.87 | 0 | 0 | NA | |||||
| 1449 | 388.253 | 387.246 | 936.7 | 0.92 | 9 | 10 | 6.60e-01 | 1 | [13C1]1454;-4.57e-02;1.50e-03;0.99 | 0 | 0 | NA | |||||
| 1450 | 388.337 | 387.33 | 1341.7 | 0.95 | 9 | 10 | 8.22e-01 | 1 | [13C1]1455;-4.19e-01;4.26e-03;0.96 | 0 | 0 | NA | |||||
| 1468 | 395.036 | 394.029 | 386.8 | 1.04 | 9 | 10 | 3.62e-01 | 2 | [13C1]1471;1.26e+00;6.54e-03;0.76 [M+Na+HCOOH]:1757;9.9e-02;6.4e-03;0.98 | 0 | 0 | NA | |||||
| 1469 | 395.249 | 394.242 | 1229.1 | 1.16 | 9 | 10 | 1.39e-01 | 1 | [13C1]1472;8.24e-01;7.60e-03;0.81 | 0 | 0 | NA | |||||
| 1476 | 397.273 | 396.266 | 1786.3 | 1.19 | 9 | 10 | 2.70e-01 | 3 | [13C1]1478;1.89e-02;1.81e-05;1.00 [13C2]1482;1.9e-02;6.7e-03;1.00 [M+H+NH4]:1553;1.4e+00;4.0e-03;0.72 | 1 | [M+K]1338;8.83e-01;6.38e-04;0.95 | 0 | NA | ||||
| 1478 | 398.276 | 397.269 | 1786.3 | 1.18 | 9 | 10 | 2.86e-01 | 2 | [13C1]1482;0.00e+00;6.68e-03;1.00 [13C2]1485;6.2e-02;4.5e-03;0.99 | 1 | [13C#1]1476;1.89e-02;1.81e-05;1.00 | 0 | NA | ||||
| 1482 | 399.273 | 398.266 | 1786.3 | 1.16 | 9 | 10 | 2.95e-01 | 1 | [13C1]1485;6.16e-02;2.14e-03;0.99 | 2 | [13C#1]1478;0.00e+00;6.68e-03;1.00 [13C#2]1476;1.89e-02;9.97e-01;1.00 | 0 | NA | ||||
| 1487 | 400.343 | 399.336 | 1614.7 | 0.85 | 9 | 10 | 1.62e-01 | 1 | [13C1]1490;1.20e-01;2.35e-03;0.98 | 0 | 1 | HMDB00846:7.2e-04/Carnitine O-palmit | |||||
| 1496 | 402.357 | 401.35 | 1602.6 | 1.04 | 9 | 10 | 8.28e-01 | 1 | [13C1]1502;-6.05e-02;2.37e-03;1.00 | 0 | 0 | NA | |||||
| 1501 | 403.236 | 402.228 | 1315.3 | 2.66 | 9 | 10 | 5.25e-03 | 2 | [13C1]1506;-8.25e-02;4.63e-04;1.00 [M+Na]:1592;0.0e+00;3.5e-04;0.97 | 0 | 1 | HMDB15698:1.5e-03/5-hydroxytryptamin | |||||
| 1504 | 404.21 | 403.203 | 1366.7 | 1.9 | 9 | 10 | 2.60e-01 | 2 | [13C1]1511;-4.67e-03;2.95e-03;0.99 [M-CH4]:1443;1.7e-01;9.1e-03;1.00 | 0 | 0 | NA | |||||
| 1513 | 407.282 | 406.275 | 1736.7 | 1.05 | 9 | 10 | 4.62e-01 | 1 | [13C1]1517;-3.82e-01;1.33e-04;0.90 | 0 | 0 | NA | |||||
| 1514 | 407.41 | 406.403 | 1051.4 | 1.53 | 9 | 10 | 1.85e-03 | 2 | [13C1]1518;0.00e+00;1.26e-03;0.99 [13C2]1523;-1.7e-01;8.1e-03;0.99 | 0 | 0 | NA | |||||
| 1522 | 409.186 | 408.179 | 937 | 1.19 | 9 | 10 | 1.47e-01 | 2 | [13C1]1524;-3.85e-02;1.52e-03;1.00 [13C2]1530;-1.4e-01;4.2e-04;0.98 | 0 | 2 | HMDB14844:7.2e-03/Alpha-1D adrenergi HMDB14385:8.7e-03/Cytochrome P450 3A4 | |||||
| 1524 | 410.191 | 409.184 | 936.9 | 1.19 | 9 | 10 | 1.43e-01 | 1 | [13C1]1530;-9.88e-02;1.93e-03;0.97 | 1 | [13C#1]1522;3.85e-02;1.52e-03;1.00 | 0 | NA | ||||
| 1544 | 414.286 | 413.278 | 1386.7 | 1.12 | 9 | 10 | 2.45e-01 | 1 | [13C1]1552;1.94e-01;1.22e-03;0.93 | 0 | 0 | NA | |||||
| 1548 | 415.212 | 414.204 | 1482.8 | 1 | 9 | 10 | 9.76e-01 | 4 | [13C1]1554;-4.02e-02;8.67e-05;1.00 [13C2]1561;-4.0e-02;8.1e-04;0.99 [M+NH4]:1623;-1.4e-01;2.4e-04;0.97 [M+K]:1714;-2.8e-01;5.5e-06;0.88 | 0 | 1 | HMDB14838:9.3e-05/Cytochrome P450 11 | |||||
| 1550 | 415.212 | 414.205 | 1561.8 | 1.25 | 9 | 10 | 2.28e-01 | 4 | [13C1]1555;2.05e-02;4.05e-04;1.00 [M+NH4]:1624;2.7e+00;2.2e-03;0.98 [M+Na]:1643;2.0e+00;7.1e-04;0.80 [M+K]:1715;2.0e+00;6.6e-05;0.90 | 0 | 1 | HMDB14838:4.9e-04/Cytochrome P450 11 | |||||
| 1554 | 416.215 | 415.208 | 1482.7 | 1 | 9 | 10 | 9.90e-01 | 2 | [13C1]1561;0.00e+00;8.97e-04;0.99 [13C2]1566;5.8e-02;3.6e-03;0.96 | 1 | [13C#1]1548;4.02e-02;8.67e-05;1.00 | 0 | NA | ||||
| 1556 | 416.337 | 415.33 | 1259.9 | 0.96 | 9 | 10 | 8.10e-01 | 2 | [13C1]1563;0.00e+00;3.35e-04;1.00 [13C2]1569;0.0e+00;1.5e-03;1.00 | 0 | 2 | HMDB13336:3.1e-05/3-Hydroxyhexadecan HMDB13337:3.1e-05/2-Hydroxyhexadecan | |||||
| 1557 | 416.337 | 415.33 | 1294.8 | 0.94 | 9 | 10 | 7.34e-01 | 2 | [13C1]1562;0.00e+00;3.62e-04;1.00 [13C2]1568;-2.4e-02;2.7e-03;1.00 | 0 | 2 | HMDB13336:5.6e-05/3-Hydroxyhexadecan HMDB13337:5.6e-05/2-Hydroxyhexadecan | |||||
| 1561 | 417.219 | 416.212 | 1482.7 | 1 | 9 | 10 | 9.41e-01 | 1 | [13C1]1566;5.81e-02;2.71e-03;0.95 | 2 | [13C#1]1554;0.00e+00;8.97e-04;0.99 [13C#2]1548;4.02e-02;1.00e+00;0.99 | 2 | HMDB15389:8.0e-03/Desonide HMDB14565:9.7e-03/Solute carrier org | ||||
| 1562 | 417.34 | 416.333 | 1294.8 | 0.94 | 9 | 10 | 7.40e-01 | 1 | [13C1]1568;-2.37e-02;2.30e-03;1.00 | 1 | [13C#1]1557;0.00e+00;3.62e-04;1.00 | 4 | HMDB00430:3.8e-03/Anephric patients HMDB01903:3.8e-03/Vitamin D3 receptor HMDB01420:3.8e-03/Anephric patients HMDB15046:3.8e-03/1,25-dihydroxyvita | ||||
| 1563 | 417.34 | 416.333 | 1259.9 | 0.95 | 9 | 10 | 7.78e-01 | 1 | [13C1]1569;0.00e+00;1.18e-03;1.00 | 1 | [13C#1]1556;0.00e+00;3.35e-04;1.00 | 4 | HMDB00430:3.8e-03/Anephric patients HMDB01903:3.8e-03/Vitamin D3 receptor HMDB01420:3.8e-03/Anephric patients HMDB15046:3.8e-03/1,25-dihydroxyvita | ||||
| 1574 | 420.885 | 419.878 | 397.2 | 1.02 | 9 | 10 | 1.04e-01 | 2 | [13C2]1581;2.7e-01;9.0e-03;0.71 [M+Na+HCOOH]:1857;-2.1e-01;2.4e-04;0.80 | 0 | 0 | NA | |||||
| 1575 | 421.081 | 420.074 | 842 | 0.91 | 8 | 10 | 4.67e-01 | 2 | [13C1]1578;-1.80e-01;1.06e-03;0.88 [13C2]1582;-8.8e-02;3.8e-03;0.87 | 0 | 0 | NA | |||||
| 1578 | 422.083 | 421.076 | 841.8 | 0.94 | 8 | 10 | 6.06e-01 | 1 | [13C1]1582;9.20e-02;4.81e-03;0.87 | 1 | [13C#1]1575;1.80e-01;1.06e-03;0.88 | 0 | NA | ||||
| 1580 | 422.325 | 421.318 | 1786.2 | 1.13 | 9 | 10 | 5.28e-01 | 1 | [13C1]1585;-1.11e+00;6.46e-04;0.99 | 0 | 0 | NA | |||||
| 1587 | 424.342 | 423.335 | 1531.5 | 1.04 | 9 | 10 | 7.72e-01 | 1 | [13C1]1594;0.00e+00;1.24e-03;0.99 | 0 | 1 | HMDB13212:1.1e-04/Linoleyl carnitine | |||||
| 1592 | 425.217 | 424.21 | 1315.3 | 2.83 | 9 | 10 | 1.18e-02 | 1 | [13C1]1596;-3.72e-01;5.59e-03;1.00 | 1 | [M+Na]1501;0.00e+00;3.54e-04;0.97 | 1 | HMDB14682:1.0e-02/Solute carrier fam | ||||
| 1599 | 426.359 | 425.352 | 1652.5 | 0.9 | 9 | 10 | 4.13e-01 | 1 | [13C1]1604;-2.80e-02;7.67e-04;0.99 | 0 | 1 | HMDB13338:1.1e-03/11Z-Octadecenylcar | |||||
| 1616 | 430.913 | 429.906 | 390.4 | 0.99 | 9 | 10 | 5.34e-01 | 3 | [13C1]1621;0.00e+00;1.83e-03;0.73 [13C2]1628;4.4e-02;6.2e-03;0.72 [M+Na+HCOOH]:1889;-6.4e-02;6.3e-04;0.96 | 1 | [M+Na+HCOOH]1352;2.14e-02;1.24e-04;0.95 | 0 | NA | ||||
| 1623 | 432.238 | 431.231 | 1482.6 | 1.01 | 9 | 10 | 8.85e-01 | 2 | [13C1]1629;0.00e+00;1.31e-03;1.00 [13C2]1631;-7.8e-02;7.2e-03;0.97 | 1 | [M+NH4]1548;1.39e-01;2.38e-04;0.97 | 0 | NA | ||||
| 1629 | 433.243 | 432.236 | 1482.6 | 1.01 | 9 | 10 | 8.60e-01 | 1 | [13C1]1631;-7.78e-02;5.94e-03;0.97 | 1 | [13C#1]1623;0.00e+00;1.31e-03;1.00 | 1 | HMDB14498:2.5e-03/Muscarinic acetylc | ||||
| 1630 | 433.384 | 432.377 | 1421.6 | 0.79 | 9 | 10 | 1.02e-01 | 1 | [13C1]1633;-6.65e-01;4.44e-03;0.95 | 0 | 0 | NA | |||||
| 1635 | 435.174 | 434.167 | 1325 | 0.99 | 9 | 10 | 7.78e-01 | 2 | [13C2]1641;1.6e-01;7.0e-03;0.96 [M+2H]:1638;-1.0e-01;8.4e-03;0.88 | 0 | 0 | NA | |||||
| 1640 | 436.868 | 435.861 | 398.6 | 0.95 | 9 | 10 | 3.14e-01 | 1 | [13C2]1650;-3.0e+00;3.1e-03;0.76 | 0 | 0 | NA | |||||
| 1642 | 437.194 | 436.187 | 1481.7 | 1.05 | 9 | 10 | 5.82e-01 | 1 | [13C1]1647;-6.46e-02;3.58e-04;1.00 | 0 | 1 | HMDB15013:7.0e-03/Muscarinic acetylc | |||||
| 1643 | 437.195 | 436.187 | 1563.8 | 1.15 | 9 | 10 | 3.54e-01 | 1 | [13C1]1648;-2.44e-02;3.64e-04;1.00 | 1 | [M+Na]1550;2.02e+00;7.12e-04;0.80 | 1 | HMDB15013:7.8e-03/Muscarinic acetylc | ||||
| 1649 | 438.299 | 437.291 | 1686.6 | 0.95 | 9 | 10 | 8.34e-01 | 1 | [13C1]1654;-1.03e-04;3.98e-04;1.00 | 0 | 0 | NA | |||||
| 1652 | 439.231 | 438.224 | 1370.7 | 2.72 | 9 | 10 | 1.55e-02 | 1 | [13C1]1655;4.85e-03;2.99e-03;1.00 | 0 | 1 | HMDB15019:8.4e-03/Solute carrier fam | |||||
| 1659 | 441.072 | 440.065 | 415.7 | 1.1 | 9 | 10 | 9.39e-02 | 2 | [13C1]1662;1.88e-01;1.23e-03;0.96 [13C2]1666;1.9e-01;8.8e-03;0.99 | 0 | 0 | NA | |||||
| 1661 | 441.297 | 440.289 | 383.6 | 1.01 | 9 | 10 | 4.78e-01 | 1 | [13C1]1665;4.76e-02;1.05e-03;0.81 | 0 | 0 | NA | |||||
| 1666 | 443.07 | 442.063 | 415.9 | 1.1 | 9 | 10 | 7.24e-02 | 1 | [13C1]1669;1.78e-01;2.67e-03;0.93 | 1 | [13C#2]1659;1.88e-01;9.95e-01;0.99 | 0 | NA | ||||
| 1673 | 444.368 | 443.361 | 1408.7 | 0.96 | 9 | 10 | 8.35e-01 | 2 | [13C1]1677;0.00e+00;3.72e-05;1.00 [13C2]1680;0.0e+00;3.3e-03;1.00 | 0 | 0 | NA | |||||
| 1674 | 444.369 | 443.361 | 1447.7 | 0.82 | 9 | 10 | 3.00e-01 | 2 | [13C1]1678;6.67e-02;1.28e-04;1.00 [13C2]1681;-9.4e-01;3.0e-03;1.00 | 0 | 0 | NA | |||||
| 1677 | 445.372 | 444.364 | 1408.7 | 0.97 | 9 | 10 | 8.73e-01 | 1 | [13C1]1680;0.00e+00;3.22e-03;1.00 | 1 | [13C#1]1673;0.00e+00;3.72e-05;1.00 | 0 | NA | ||||
| 1678 | 445.372 | 444.365 | 1447.8 | 0.83 | 9 | 10 | 3.02e-01 | 1 | [13C1]1681;-1.00e+00;2.87e-03;0.99 | 1 | [13C#1]1674;6.67e-02;1.28e-04;1.00 | 0 | NA | ||||
| 1682 | 446.887 | 445.88 | 391.2 | 1 | 9 | 10 | 9.45e-01 | 2 | [13C1]1687;-1.07e-01;7.35e-03;0.78 [M+Na+HCOOH]:1949;-5.5e-02;4.1e-04;0.93 | 1 | [M+Na+HCOOH]1418;6.83e-01;8.19e-04;0.95 | 0 | NA | ||||
| 1686 | 447.332 | 446.325 | 957.9 | 0.99 | 9 | 10 | 8.69e-01 | 1 | [13C1]1690;1.63e-01;8.58e-04;0.99 | 0 | 0 | NA | |||||
| 1701 | 450.323 | 449.316 | 1269.2 | 1.45 | 9 | 10 | 8.72e-02 | 1 | [13C1]1705;6.95e-01;7.02e-03;0.98 | 0 | 2 | HMDB00708:1.4e-03/Glycine N-acyltran HMDB04013:1.4e-03/Bile acid-CoA | |||||
| 1702 | 450.324 | 449.317 | 1303.9 | 0.76 | 9 | 10 | 3.62e-01 | 1 | [13C1]1706;0.00e+00;2.36e-03;1.00 | 0 | 2 | HMDB00708:2.6e-03/Glycine N-acyltran HMDB04013:2.6e-03/Bile acid-CoA | |||||
| 1711 | 452.386 | 451.378 | 1736.8 | 1.08 | 9 | 10 | 4.37e-01 | 1 | [13C1]1717;-1.89e-01;4.98e-03;0.96 | 0 | 0 | NA | |||||
| 1714 | 453.167 | 452.16 | 1482.5 | 1.02 | 9 | 10 | 4.49e-01 | 2 | [13C1]1718;0.00e+00;1.34e-04;0.97 [13C2]1722;2.6e-01;2.0e-03;0.95 | 1 | [M+K]1548;2.78e-01;5.51e-06;0.88 | 0 | NA | ||||
| 1716 | 453.343 | 452.335 | 971.5 | 1.03 | 9 | 10 | 7.00e-01 | 1 | [13C1]1721;-5.96e-01;5.35e-04;0.99 | 0 | 0 | NA | |||||
| 1718 | 454.171 | 453.164 | 1482.5 | 1.02 | 9 | 10 | 3.93e-01 | 1 | [13C1]1722;2.62e-01;2.09e-03;0.93 | 1 | [13C#1]1714;0.00e+00;1.34e-04;0.97 | 1 | HMDB61140:2.7e-03/Endoxifen sulfate | ||||
| 1719 | 454.293 | 453.285 | 1551.8 | 0.55 | 9 | 10 | 2.32e-02 | 1 | [13C1]1725;-1.01e+00;8.16e-03;0.99 | 0 | 0 | NA | |||||
| 1720 | 454.293 | 453.286 | 1598 | 0.47 | 9 | 10 | 1.71e-02 | 2 | [13C1]1724;-1.02e+00;3.88e-03;1.00 [13C2]1729;-9.4e-01;2.2e-03;0.99 | 0 | 0 | NA | |||||
| 1724 | 455.3 | 454.293 | 1597 | 0.57 | 9 | 10 | 1.51e-02 | 1 | [13C1]1729;8.37e-02;1.67e-03;0.99 | 1 | [13C#1]1720;1.02e+00;3.88e-03;1.00 | 1 | HMDB14799:9.6e-03/Voltage-dependent | ||||
| 1733 | 457.271 | 456.264 | 388.8 | 0.98 | 9 | 10 | 5.16e-01 | 2 | [13C1]1736;0.00e+00;1.38e-04;0.95 [13C2]1738;5.5e-01;3.9e-03;0.85 | 0 | 1 | HMDB00907:9.1e-03/Solute carrier org | |||||
| 1735 | 457.272 | 456.265 | 1787 | 0.97 | 9 | 10 | 3.92e-01 | 1 | [13C1]1737;-2.23e-01;2.65e-03;0.97 | 0 | 0 | NA | |||||
| 1736 | 458.274 | 457.267 | 388.8 | 0.99 | 9 | 10 | 6.72e-01 | 1 | [13C1]1738;5.47e-01;4.01e-03;0.81 | 1 | [13C#1]1733;0.00e+00;1.38e-04;0.95 | 0 | NA | ||||
| 1747 | 460.359 | 459.351 | 1310.8 | 0.95 | 9 | 10 | 7.32e-01 | 1 | [13C1]1752;6.89e-01;6.15e-03;0.88 | 0 | 0 | NA | |||||
| 1755 | 462.306 | 461.299 | 1494.2 | 2.7 | 9 | 10 | 2.63e-02 | 2 | [13C1]1759;2.11e-01;2.48e-04;1.00 [M-CH2]:1684;-7.3e-01;1.3e-03;0.99 | 0 | 0 | NA | |||||
| 1756 | 462.348 | 461.341 | 951.9 | 1.14 | 9 | 10 | 1.98e-01 | 1 | [13C1]1761;-1.24e-01;1.28e-03;0.98 | 0 | 0 | NA | |||||
| 1763 | 464.314 | 463.307 | 1753.4 | 1.08 | 9 | 10 | 7.78e-01 | 1 | [13C1]1766;1.20e+00;1.81e-03;0.97 | 0 | 0 | NA | |||||
| 1767 | 466.317 | 465.309 | 1108.9 | 1.17 | 9 | 10 | 6.30e-01 | 1 | [13C1]1772;-2.13e-01;2.20e-03;0.99 | 0 | 1 | HMDB00138:3.5e-04/Bile acid-CoA | |||||
| 1770 | 466.384 | 465.377 | 1785.5 | 1.36 | 8 | 9 | 3.80e-01 | 3 | [13C1]1774;5.95e-01;6.22e-03;0.91 [M-CH2]:1707;-2.1e-01;9.4e-04;0.74 [M-CH4]:1698;-2.1e-01;7.3e-03;0.81 | 0 | 0 | NA | |||||
| 1777 | 468.309 | 467.302 | 1390.9 | 0.83 | 9 | 10 | 3.83e-01 | 3 | [13C1]1780;0.00e+00;7.46e-04;1.00 [13C2]1783;2.9e-01;2.7e-03;0.99 [M+Na]:1865;1.7e-01;1.5e-03;0.98 | 0 | 2 | HMDB10379:4.1e-04/Cytosolic phosphol HMDB15057:2.0e-03/Buprenorphine | |||||
| 1780 | 469.313 | 468.306 | 1390.9 | 0.84 | 9 | 10 | 3.71e-01 | 1 | [13C1]1783;2.86e-01;1.90e-03;0.99 | 1 | [13C#1]1777;0.00e+00;7.46e-04;1.00 | 0 | NA | ||||
| 1796 | 472.683 | 471.675 | 906.1 | 1.19 | 9 | 10 | 2.52e-01 | 1 | [13C1]1801;1.74e-01;1.67e-03;0.99 | 0 | 0 | NA | |||||
| 1810 | 478.293 | 477.286 | 1495.8 | 0.99 | 9 | 10 | 9.39e-01 | 2 | [13C1]1814;-3.87e-02;3.13e-04;1.00 [M+Na]:1897;7.5e-01;2.5e-03;0.85 | 0 | 0 | NA | |||||
| 1812 | 478.842 | 477.835 | 398.6 | 1.02 | 9 | 10 | 4.18e-01 | 3 | [13C1]1815;3.08e-01;6.17e-03;0.75 [M+Na+HCOOH]:2076;-3.3e-01;2.8e-04;0.87 [M-NH3]:1748;9.8e-01;6.1e-03;0.84 | 0 | 0 | NA | |||||
| 1817 | 480.31 | 479.302 | 1665.8 | 0.7 | 9 | 10 | 5.06e-02 | 1 | [13C1]1822;0.00e+00;3.09e-05;1.00 | 0 | 0 | NA | |||||
| 1819 | 480.346 | 479.339 | 1776.8 | 0.9 | 9 | 10 | 6.81e-01 | 1 | [13C1]1823;-9.81e-01;7.03e-05;0.99 | 0 | 1 | HMDB10407:1.0e-03/Cytosolic phosphol | |||||
| 1824 | 482.323 | 481.316 | 384.3 | 0.99 | 9 | 10 | 7.58e-01 | 1 | [13C1]1833;1.16e-01;4.73e-04;0.91 | 0 | 1 | HMDB10381:1.3e-03/Cytosolic phosphol | |||||
| 1825 | 482.324 | 481.317 | 1509.8 | 0.97 | 9 | 10 | 8.21e-01 | 1 | [13C1]1832;1.65e+00;1.11e-03;0.98 | 0 | 1 | HMDB10381:2.0e-04/Cytosolic phosphol | |||||
| 1827 | 482.329 | 481.321 | 1784.3 | 0.97 | 9 | 10 | 6.43e-01 | 1 | [13C1]1834;2.27e+00;1.51e-03;0.99 | 0 | 1 | HMDB10381:4.5e-03/Cytosolic phosphol | |||||
| 1829 | 483.251 | 482.244 | 1481.8 | 1.02 | 9 | 10 | 8.94e-01 | 2 | [13C1]1838;7.20e-01;3.43e-04;0.87 [13C2]1843;1.5e+00;5.1e-03;0.84 | 0 | 1 | HMDB10351:7.4e-03/UDP glycosyltransf | |||||
| 1838 | 484.254 | 483.247 | 1482.5 | 1.02 | 9 | 10 | 8.71e-01 | 1 | [13C1]1843;7.82e-01;5.40e-03;0.83 | 1 | [13C#1]1829;7.20e-01;3.43e-04;0.87 | 0 | NA | ||||
| 1839 | 484.279 | 483.272 | 1435.8 | 1.02 | 9 | 10 | 7.15e-01 | 1 | [13C1]1844;-5.51e-02;1.23e-03;0.89 | 0 | 0 | NA | |||||
| 1846 | 485.427 | 484.42 | 1052 | 0.98 | 9 | 10 | 7.07e-01 | 1 | [13C1]1852;1.42e-01;1.86e-03;0.89 | 0 | 0 | NA | |||||
| 1854 | 488.302 | 487.295 | 1481.9 | 0.95 | 9 | 10 | 5.57e-01 | 2 | [13C1]1860;2.45e-01;2.80e-04;0.99 [M-CH2]:1798;-1.1e+00;6.8e-03;0.87 | 0 | 0 | NA | |||||
| 1855 | 488.311 | 487.304 | 1564.5 | 1.09 | 9 | 10 | 5.12e-01 | 1 | [13C1]1861;1.97e-01;5.89e-03;0.84 | 0 | 0 | NA | |||||
| 1859 | 489.235 | 488.228 | 1435.7 | 0.96 | 9 | 10 | 7.27e-01 | 1 | [13C1]1863;1.36e+00;2.53e-04;0.86 | 0 | 1 | HMDB15000:7.3e-03/Cytochrome P450 3A5 | |||||
| 1865 | 490.292 | 489.285 | 1391.1 | 0.91 | 9 | 10 | 5.57e-01 | 1 | [13C1]1871;-2.61e-01;1.58e-03;0.93 | 1 | [M+Na]1777;1.69e-01;1.54e-03;0.98 | 0 | NA | ||||
| 1875 | 492.404 | 491.397 | 363.3 | 0.99 | 9 | 10 | 7.65e-01 | 1 | [13C1]1878;4.41e-03;1.20e-03;0.95 | 0 | 0 | NA | |||||
| 1880 | 494.324 | 493.317 | 1453.6 | 0.97 | 9 | 10 | 8.05e-01 | 2 | [13C1]1882;1.06e-01;4.50e-04;0.99 [M+Na]:1954;1.2e+00;1.1e-03;0.98 | 0 | 1 | HMDB10383:1.1e-04/Cytosolic phosphol | |||||
| 1883 | 496.34 | 495.333 | 1598.2 | 0.86 | 9 | 10 | 1.85e-01 | 4 | [13C1]1885;0.00e+00;2.28e-04;0.99 [13C2]1887;7.6e-01;8.3e-05;1.00 [M+Na]:1962;0.0e+00;5.9e-05;0.90 [M+K]:2019;4.2e-01;5.2e-04;0.81 | 0 | 1 | HMDB10382:4.5e-04/Cytosolic phosphol | |||||
| 1884 | 496.342 | 495.335 | 1654.6 | 0.89 | 9 | 10 | 1.61e-01 | 4 | [13C1]1886;-5.35e-01;1.25e-03;0.99 [13C2]1888;-5.3e-01;1.7e-03;0.99 [M+Na]:1963;4.1e-01;1.4e-03;0.97 [M+K]:2020;4.1e-01;1.6e-03;0.78 | 0 | 1 | HMDB10382:2.1e-03/Cytosolic phosphol | |||||
| 1885 | 497.344 | 496.337 | 1598.2 | 0.84 | 9 | 10 | 1.61e-01 | 2 | [13C1]1887;7.56e-01;3.10e-04;1.00 [13C2]1892;-3.9e-01;1.4e-03;0.98 | 1 | [13C#1]1883;0.00e+00;2.28e-04;0.99 | 0 | NA | ||||
| 1886 | 497.344 | 496.337 | 1654.1 | 0.87 | 9 | 10 | 1.38e-01 | 2 | [13C1]1888;0.00e+00;4.72e-04;1.00 [13C2]1893;0.0e+00;1.4e-03;1.00 | 1 | [13C#1]1884;5.35e-01;1.25e-03;0.99 | 0 | NA | ||||
| 1887 | 498.347 | 497.34 | 1598.9 | 0.86 | 9 | 10 | 1.88e-01 | 1 | [13C1]1892;-1.15e+00;1.06e-03;0.99 | 2 | [13C#1]1885;7.56e-01;3.10e-04;1.00 [13C#2]1883;7.56e-01;1.00e+00;1.00 | 0 | NA | ||||
| 1888 | 498.347 | 497.34 | 1654.1 | 0.86 | 9 | 10 | 1.42e-01 | 2 | [13C1]1893;0.00e+00;9.29e-04;1.00 [13C2]1898;-1.8e-02;1.0e-03;0.99 | 2 | [13C#1]1886;0.00e+00;4.72e-04;1.00 [13C#2]1884;5.35e-01;1.00e+00;0.99 | 0 | NA | ||||
| 1889 | 498.9 | 497.893 | 390.4 | 0.99 | 9 | 10 | 6.35e-01 | 2 | [13C1]1896;7.13e-02;3.57e-03;0.77 [M+Na+HCOOH]:2165;-2.8e-01;1.1e-04;0.94 | 1 | [M+Na+HCOOH]1616;6.44e-02;6.33e-04;0.96 | 0 | NA | ||||
| 1890 | 499.031 | 498.023 | 416.9 | 1.05 | 9 | 10 | 3.87e-01 | 1 | [13C2]1901;-3.2e-01;9.4e-03;0.99 | 0 | 0 | NA | |||||
| 1893 | 499.349 | 498.342 | 1654.1 | 0.88 | 9 | 10 | 1.93e-01 | 1 | [13C1]1898;-1.80e-02;7.76e-05;0.99 | 2 | [13C#1]1888;0.00e+00;9.29e-04;1.00 [13C#2]1886;0.00e+00;1.00e+00;1.00 | 0 | NA | ||||
| 1901 | 501.028 | 500.021 | 416.6 | 1.06 | 9 | 10 | 3.31e-01 | 1 | [13C2]1908;-1.8e-01;9.9e-03;0.83 | 1 | [13C#2]1890;3.17e-01;9.94e-01;0.99 | 0 | NA | ||||
| 1905 | 502.294 | 501.286 | 1495.8 | 0.94 | 9 | 10 | 7.17e-01 | 1 | [13C1]1909;0.00e+00;5.57e-04;1.00 | 0 | 1 | HMDB05030:1.5e-03/Histamine H1 recep | |||||
| 1913 | 504.314 | 503.306 | 1581.1 | 1.03 | 9 | 10 | 8.24e-01 | 1 | [13C1]1917;-1.23e-01;2.60e-03;0.99 | 0 | 0 | NA | |||||
| 1927 | 508.341 | 507.334 | 1576.7 | 1.25 | 9 | 10 | 9.02e-02 | 1 | [13C1]1929;0.00e+00;5.59e-04;0.97 | 0 | 0 | NA | |||||
| 1933 | 510.357 | 509.35 | 1781.9 | 1.02 | 9 | 10 | 9.19e-01 | 1 | [13C1]1935;1.13e+00;1.55e-03;1.00 | 0 | 1 | HMDB12108:2.0e-03/Phospholipase B1, | |||||
| 1938 | 512.337 | 511.329 | 1120 | 1.12 | 9 | 10 | 4.11e-01 | 1 | [13C1]1941;1.20e+00;1.98e-03;0.96 | 0 | 0 | NA | |||||
| 1954 | 516.307 | 515.3 | 1454.8 | 0.97 | 9 | 10 | 7.71e-01 | 1 | [13C1]1960;-2.61e+00;6.74e-03;0.94 | 1 | [M+Na]1880;1.16e+00;1.08e-03;0.98 | 3 | HMDB10389:1.2e-03/Cytosolic phosphol HMDB00036:8.3e-03/Solute carrier org HMDB11637:8.3e-03/Cytochrome P450 3A4 | ||||
| 1962 | 518.322 | 517.315 | 1598.2 | 0.89 | 9 | 10 | 3.37e-01 | 1 | [13C1]1967;0.00e+00;4.70e-03;0.98 | 1 | [M+Na]1883;0.00e+00;5.86e-05;0.90 | 3 | HMDB10387:2.0e-03/Cytosolic phosphol HMDB10388:2.0e-03/Cytosolic phosphol HMDB15386:7.8e-03/Cytochrome P450 3A4 | ||||
| 1963 | 518.322 | 517.315 | 1655 | 0.9 | 9 | 10 | 2.57e-01 | 1 | [13C1]1966;0.00e+00;5.52e-04;1.00 | 1 | [M+Na]1884;4.06e-01;1.36e-03;0.97 | 3 | HMDB10387:1.7e-03/Cytosolic phosphol HMDB10388:1.7e-03/Cytosolic phosphol HMDB15386:7.4e-03/Cytochrome P450 3A4 | ||||
| 1968 | 520.34 | 519.333 | 1486.9 | 1.01 | 9 | 10 | 9.72e-01 | 1 | [13C1]1971;-8.48e-02;1.09e-04;0.99 | 0 | 1 | HMDB10386:4.7e-04/Cytosolic phosphol | |||||
| 1969 | 520.34 | 519.333 | 1528.8 | 1.19 | 9 | 10 | 2.91e-01 | 4 | [13C1]1970;0.00e+00;3.56e-04;1.00 [13C2]1974;0.0e+00;9.5e-04;1.00 [M+Na]:2053;4.2e-01;3.9e-04;0.98 [M+H+K]:2135;-2.0e+00;3.5e-03;0.77 | 0 | 1 | HMDB10386:6.4e-04/Cytosolic phosphol | |||||
| 1970 | 521.343 | 520.336 | 1528.8 | 1.21 | 9 | 10 | 3.01e-01 | 2 | [13C1]1974;0.00e+00;5.92e-04;1.00 [13C2]1979;-3.3e-02;4.5e-03;0.89 | 1 | [13C#1]1969;0.00e+00;3.56e-04;1.00 | 0 | NA | ||||
| 1973 | 522.297 | 521.289 | 1483 | 0.96 | 9 | 10 | 7.47e-01 | 1 | [13C1]1978;-4.11e-01;4.43e-03;0.99 | 0 | 0 | NA | |||||
| 1974 | 522.346 | 521.339 | 1528.8 | 1.21 | 9 | 10 | 3.02e-01 | 1 | [13C1]1979;-3.25e-02;3.95e-03;0.88 | 2 | [13C#1]1970;0.00e+00;5.92e-04;1.00 [13C#2]1969;0.00e+00;1.00e+00;1.00 | 2 | HMDB10385:9.3e-03/Cytosolic phosphol HMDB02815:9.3e-03/85/88 kDa calcium- | ||||
| 1975 | 522.356 | 521.349 | 1732.9 | 1.06 | 9 | 10 | 6.93e-01 | 3 | [13C1]1981;0.00e+00;3.32e-05;1.00 [M+Na]:2062;0.0e+00;6.8e-04;0.88 [M+K]:2138;0.0e+00;2.9e-04;0.84 | 0 | 2 | HMDB10385:9.9e-04/Cytosolic phosphol HMDB02815:9.9e-04/85/88 kDa calcium- | |||||
| 1976 | 522.356 | 521.349 | 1672.6 | 1.02 | 9 | 10 | 8.59e-01 | 1 | [13C1]1980;-6.33e-02;2.11e-03;0.99 | 0 | 2 | HMDB10385:1.1e-03/Cytosolic phosphol HMDB02815:1.1e-03/85/88 kDa calcium- | |||||
| 1983 | 524.371 | 523.364 | 1501.7 | 1.07 | 9 | 10 | 7.94e-01 | 1 | [13C1]1987;1.07e+00;2.23e-04;0.91 | 0 | 1 | HMDB10384:3.1e-04/Cytosolic phosphol | |||||
| 2006 | 531.275 | 530.268 | 1482.8 | 1.02 | 9 | 10 | 9.09e-01 | 2 | [13C1]2010;1.11e-02;6.94e-03;0.98 [13C2]2016;4.2e-02;7.8e-03;0.93 | 0 | 0 | NA | |||||
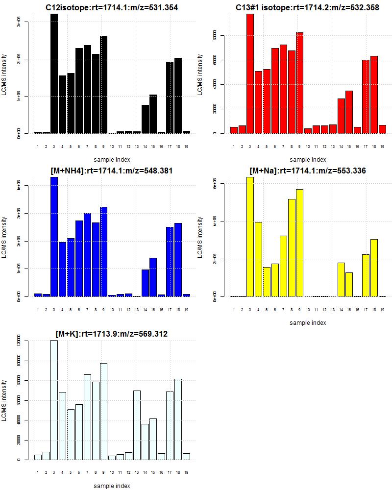
| 2007 | 531.354 | 530.347 | 1714.1 | 2.9 | 9 | 10 | 1.86e-02 | 4 | [13C1]2011;6.55e-02;1.88e-04;1.00 [M+NH4]:2085;0.0e+00;6.9e-05;1.00 [M+Na]:2110;1.9e-02;3.8e-04;0.90 [M+K]:2180;-2.0e-01;1.8e-03;0.90 | 0 | 0 | NA | |||||
| 2010 | 532.286 | 531.278 | 1482.8 | 1.02 | 9 | 10 | 8.58e-01 | 1 | [13C1]2016;3.14e-02;8.95e-04;0.98 | 1 | [13C#1]2006;1.11e-02;6.94e-03;0.98 | 0 | NA | ||||
| 2017 | 533.339 | 532.331 | 1736.3 | 1.18 | 9 | 10 | 2.85e-01 | 2 | [13C1]2021;5.41e-02;3.98e-03;0.98 [M+Na]:2119;0.0e+00;5.0e-03;0.77 | 0 | 0 | NA | |||||
| 2022 | 534.37 | 533.363 | 431 | 1.08 | 9 | 10 | 5.81e-01 | 1 | [13C1]2026;2.75e-02;5.74e-05;0.97 | 0 | 0 | NA | |||||
| 2023 | 535.255 | 534.248 | 1482.7 | 0.99 | 9 | 10 | 8.63e-01 | 2 | [13C1]2029;0.00e+00;2.42e-04;0.96 [13C2]2037;-1.8e-02;1.3e-03;0.86 | 0 | 0 | NA | |||||
| 2029 | 536.259 | 535.252 | 1482.7 | 1 | 9 | 10 | 9.59e-01 | 1 | [13C1]2037;-1.78e-02;1.10e-03;0.92 | 1 | [13C#1]2023;0.00e+00;2.42e-04;0.96 | 0 | NA | ||||
| 2030 | 536.335 | 535.328 | 1173.1 | 1.1 | 9 | 10 | 7.59e-01 | 1 | [13C1]2038;-3.17e-02;2.41e-03;0.99 | 0 | 0 | NA | |||||
| 2032 | 536.393 | 535.386 | 448.5 | 1.04 | 9 | 10 | 6.59e-01 | 2 | [13C1]2039;1.22e-01;2.43e-04;0.98 [13C2]2044;6.3e-01;2.5e-03;0.95 | 0 | 0 | NA | |||||
| 2033 | 536.394 | 535.386 | 509.6 | 1.13 | 9 | 10 | 6.25e-02 | 1 | [13C1]2040;-5.40e-01;8.16e-05;0.95 | 0 | 0 | NA | |||||
| 2034 | 536.394 | 535.386 | 597.9 | 1.06 | 9 | 10 | 3.16e-01 | 2 | [13C1]2041;3.41e-02;1.27e-04;0.98 [13C2]2045;5.4e-02;9.0e-04;0.92 | 0 | 0 | NA | |||||
| 2039 | 537.396 | 536.389 | 448.6 | 1.03 | 9 | 10 | 6.94e-01 | 1 | [13C1]2044;5.09e-01;2.30e-03;0.93 | 1 | [13C#1]2032;1.22e-01;2.43e-04;0.98 | 0 | NA | ||||
| 2041 | 537.397 | 536.39 | 597.9 | 1.03 | 9 | 10 | 5.14e-01 | 1 | [13C1]2045;1.96e-02;1.03e-03;0.92 | 1 | [13C#1]2034;3.41e-02;1.27e-04;0.98 | 0 | NA | ||||
| 2053 | 542.322 | 541.315 | 1529.2 | 1.15 | 9 | 10 | 3.43e-01 | 1 | [13C1]2058;-4.21e-01;1.19e-03;1.00 | 1 | [M+Na]1969;4.21e-01;3.94e-04;0.98 | 1 | HMDB10397:2.2e-03/Cytosolic phosphol | ||||
| 2054 | 542.325 | 541.318 | 1403.7 | 1.94 | 9 | 10 | 6.61e-02 | 1 | [13C1]2059;-1.95e-01;4.30e-04;1.00 | 0 | 1 | HMDB10397:7.4e-04/Cytosolic phosphol | |||||
| 2062 | 544.339 | 543.332 | 1732.9 | 1.06 | 9 | 10 | 7.59e-01 | 1 | [13C1]2067;0.00e+00;3.69e-03;0.99 | 1 | [M+Na]1975;0.00e+00;6.81e-04;0.88 | 2 | HMDB10396:7.4e-04/Cytosolic phosphol HMDB10395:7.4e-04/Cytosolic phosphol | ||||
| 2063 | 544.34 | 543.333 | 1522.5 | 1.03 | 9 | 10 | 8.35e-01 | 3 | [13C1]2068;7.53e-02;3.07e-05;1.00 [M+Na]:2162;-6.8e-01;9.0e-04;0.95 [M+K]:2231;-7.1e-01;5.1e-03;0.85 | 0 | 2 | HMDB10396:4.0e-04/Cytosolic phosphol HMDB10395:4.0e-04/Cytosolic phosphol | |||||
| 2064 | 544.382 | 543.375 | 1300.5 | 0.94 | 9 | 10 | 6.94e-01 | 1 | [13C1]2070;-4.04e-02;3.51e-05;0.99 | 0 | 0 | NA | |||||
| 2072 | 546.216 | 545.209 | 950.9 | 1.21 | 9 | 10 | 4.13e-01 | 1 | [13C1]2078;-3.52e-02;6.17e-03;0.86 | 0 | 0 | NA | |||||
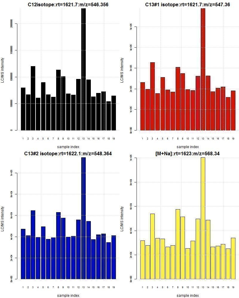
| 2074 | 546.356 | 545.349 | 1621.7 | 0.96 | 9 | 10 | 8.60e-01 | 3 | [13C1]2080;0.00e+00;8.76e-04;1.00 [13C2]2084;3.9e-01;9.4e-04;1.00 [M+Na]:2174;1.3e+00;2.0e-03;0.97 | 0 | 2 | HMDB10394:7.8e-04/Cytosolic phosphol HMDB10393:7.8e-04/Cytosolic phosphol | |||||
| 2075 | 546.358 | 545.351 | 1577.8 | 0.92 | 9 | 10 | 7.38e-01 | 1 | [13C1]2081;0.00e+00;1.85e-03;0.92 | 0 | 2 | HMDB10394:2.6e-03/Cytosolic phosphol HMDB10393:2.6e-03/Cytosolic phosphol | |||||
| 2076 | 546.83 | 545.823 | 398.3 | 1.02 | 9 | 10 | 2.66e-01 | 2 | [13C1]2082;1.47e-01;8.22e-03;0.80 [M-NH3]:1997;4.0e-01;8.5e-03;0.75 | 1 | [M+Na+HCOOH]1812;3.25e-01;2.78e-04;0.87 | 0 | NA | ||||
| 2080 | 547.36 | 546.353 | 1621.7 | 0.97 | 9 | 10 | 8.83e-01 | 1 | [13C1]2084;3.89e-01;6.45e-05;1.00 | 1 | [13C#1]2074;0.00e+00;8.76e-04;1.00 | 0 | NA | ||||
| 2084 | 548.364 | 547.357 | 1622.1 | 0.97 | 9 | 10 | 8.63e-01 | 1 | [13C1]2090;2.72e+00;1.56e-05;0.97 | 2 | [13C#1]2080;3.89e-01;6.45e-05;1.00 [13C#2]2074;3.89e-01;1.00e+00;1.00 | 1 | HMDB10392:7.2e-03/Cytosolic phosphol | ||||
| 2085 | 548.381 | 547.374 | 1714.1 | 2.8 | 9 | 10 | 2.17e-02 | 1 | [13C1]2091;1.92e-02;2.07e-03;1.00 | 1 | [M+NH4]2007;0.00e+00;6.93e-05;1.00 | 1 | HMDB10392:9.9e-03/Cytosolic phosphol | ||||
| 2086 | 548.449 | 547.442 | 1782.3 | 0.18 | 9 | 10 | 3.08e-01 | 1 | [13C1]2092;2.00e+00;7.14e-03;1.00 | 0 | 0 | NA | |||||
| 2087 | 548.463 | 547.455 | 953.7 | 1.05 | 9 | 10 | 5.80e-01 | 1 | [13C1]2093;-7.48e-01;4.12e-03;0.96 | 0 | 0 | NA | |||||
| 2096 | 550.409 | 549.401 | 757.2 | 0.99 | 9 | 10 | 9.15e-01 | 1 | [13C1]2103;-1.67e-01;1.76e-03;0.75 | 0 | 0 | NA | |||||
| 2097 | 550.409 | 549.401 | 847.8 | 1 | 9 | 10 | 9.82e-01 | 2 | [13C1]2102;9.18e-02;1.54e-03;0.99 [13C2]2108;-4.5e-02;5.5e-04;0.99 | 0 | 0 | NA | |||||
| 2102 | 551.413 | 550.406 | 847.9 | 1 | 9 | 10 | 9.98e-01 | 1 | [13C1]2108;-1.37e-01;9.87e-04;0.99 | 1 | [13C#1]2097;9.18e-02;1.54e-03;0.99 | 0 | NA | ||||
| 2110 | 553.336 | 552.329 | 1714.1 | 3.62 | 9 | 9 | 2.07e-02 | 1 | [13C1]2114;-4.65e-01;2.17e-03;1.00 | 1 | [M+Na]2007;1.92e-02;3.85e-04;0.90 | 1 | HMDB02513:1.1e-03/UDP-glucuronosyltr | ||||
| 2116 | 555.318 | 554.311 | 1482 | 0.98 | 9 | 10 | 7.16e-01 | 2 | [13C1]2121;-1.43e-01;2.77e-03;0.99 [13C2]2127;-2.8e-01;8.2e-03;0.95 | 0 | 0 | NA | |||||
| 2121 | 556.324 | 555.317 | 1481.9 | 0.99 | 9 | 10 | 9.13e-01 | 1 | [13C1]2127;-1.35e-01;5.47e-03;0.94 | 1 | [13C#1]2116;1.43e-01;2.77e-03;0.99 | 0 | NA | ||||
| 2138 | 560.313 | 559.305 | 1732.9 | 1.05 | 9 | 10 | 8.38e-01 | 1 | [13C1]2144;4.84e-01;4.74e-03;1.00 | 1 | [M+K]1975;0.00e+00;2.92e-04;0.84 | 0 | NA | ||||
| 2162 | 566.323 | 565.316 | 1521.8 | 0.99 | 9 | 10 | 9.70e-01 | 1 | [13C1]2167;7.49e-01;6.42e-04;0.99 | 1 | [M+Na]2063;6.81e-01;9.04e-04;0.95 | 0 | NA | ||||
| 2163 | 566.375 | 565.368 | 1253.6 | 0.95 | 9 | 10 | 3.42e-01 | 2 | [13C1]2169;-7.85e-02;2.36e-04;0.73 [13C2]2177;1.5e-01;6.3e-03;0.73 | 0 | 0 | NA | |||||
| 2164 | 566.426 | 565.419 | 974.6 | 0.99 | 9 | 10 | 9.72e-01 | 1 | [13C1]2170;1.54e-01;9.51e-04;1.00 | 0 | 0 | NA | |||||
| 2165 | 566.888 | 565.88 | 390.1 | 0.99 | 9 | 10 | 4.88e-01 | 2 | [13C1]2171;2.37e-02;3.18e-03;0.89 [M+Na+HCOOH]:2403;-3.9e-01;6.7e-04;0.91 | 1 | [M+Na+HCOOH]1889;2.84e-01;1.10e-04;0.94 | 0 | NA | ||||
| 2166 | 567.244 | 566.236 | 1736.3 | 1.1 | 9 | 10 | 1.87e-01 | 1 | [13C1]2172;9.10e-02;2.13e-03;0.79 | 0 | 0 | NA | |||||
| 2168 | 567.352 | 566.344 | 1789.2 | 3.02 | 9 | 7 | 1.55e-02 | 1 | [13C1]2175;8.95e-02;4.59e-03;1.00 | 0 | 0 | NA | |||||
| 2173 | 568.34 | 567.332 | 1505.5 | 1.18 | 9 | 10 | 4.47e-01 | 2 | [13C1]2181;0.00e+00;5.94e-04;1.00 [13C2]2186;-7.5e-01;2.7e-03;1.00 | 0 | 1 | HMDB10404:9.1e-05/Cytosolic phosphol | |||||
| 2176 | 568.366 | 567.358 | 599.7 | 1.01 | 9 | 10 | 9.12e-01 | 1 | [13C1]2182;-1.68e-01;7.88e-04;0.99 | 0 | 0 | NA | |||||
| 2180 | 569.312 | 568.305 | 1713.9 | 1.93 | 9 | 10 | 7.62e-02 | 2 | [13C1]2185;-3.29e-01;4.83e-03;0.98 [13C2]2192;0.0e+00;3.8e-03;0.96 | 1 | [M+K]2007;2.04e-01;1.79e-03;0.90 | 0 | NA | ||||
| 2181 | 569.344 | 568.336 | 1505.5 | 1.17 | 9 | 10 | 4.52e-01 | 1 | [13C1]2186;-7.52e-01;2.12e-03;1.00 | 1 | [13C#1]2173;0.00e+00;5.94e-04;1.00 | 0 | NA | ||||
| 2185 | 570.32 | 569.313 | 1713.6 | 1.57 | 9 | 10 | 1.39e-01 | 1 | [13C1]2192;3.29e-01;9.88e-04;0.99 | 1 | [13C#1]2180;3.29e-01;4.83e-03;0.98 | 0 | NA | ||||
| 2187 | 570.357 | 569.349 | 1568.8 | 1.54 | 9 | 10 | 5.75e-02 | 1 | [13C1]2193;9.37e-01;1.20e-03;0.99 | 0 | 2 | HMDB10403:1.3e-03/Cytosolic phosphol HMDB10402:1.3e-03/Cytosolic phosphol | |||||
| 2188 | 570.362 | 569.355 | 1642.6 | 0.83 | 9 | 10 | 2.81e-01 | 1 | [13C1]2194;-8.60e-01;1.16e-03;1.00 | 0 | 2 | HMDB10403:6.7e-03/Cytosolic phosphol HMDB10402:6.7e-03/Cytosolic phosphol | |||||
| 2189 | 570.378 | 569.371 | 913.4 | 1.06 | 9 | 10 | 1.71e-01 | 1 | [13C1]2195;3.02e-01;5.19e-04;0.80 | 0 | 0 | NA | |||||
| 2202 | 573.414 | 572.407 | 1448.9 | 1.1 | 9 | 10 | 2.58e-01 | 1 | [13C1]2206;1.32e-01;6.28e-03;0.90 | 0 | 0 | NA | |||||
| 2208 | 575.427 | 574.42 | 955.1 | 1.01 | 9 | 10 | 9.20e-01 | 1 | [13C1]2212;-1.97e+00;9.68e-03;0.74 | 0 | 0 | NA | |||||
| 2216 | 577.334 | 576.327 | 454.3 | 0.9 | 9 | 10 | 3.50e-01 | 1 | [13C1]2219;-3.24e-01;1.24e-03;0.93 | 0 | 0 | NA | |||||
| 2217 | 577.334 | 576.327 | 628.3 | 1.06 | 9 | 10 | 6.65e-01 | 1 | [13C1]2220;0.00e+00;1.16e-03;0.99 | 0 | 0 | NA | |||||
| 2223 | 579.278 | 578.271 | 1728.2 | 1.36 | 9 | 10 | 1.32e-01 | 1 | [13C2]2227;-6.1e-01;8.5e-03;1.00 | 0 | 1 | HMDB15221:7.9e-03/Synaptic vesicular | |||||
| 2227 | 581.293 | 580.286 | 1727.6 | 1.37 | 9 | 10 | 1.31e-01 | 1 | [13C1]2230;5.24e-01;4.48e-03;0.97 | 1 | [13C#2]2223;6.06e-01;1.01e+00;1.00 | 0 | NA | ||||
| 2233 | 582.865 | 581.858 | 390.9 | 0.99 | 9 | 10 | 6.88e-01 | 2 | [13C1]2236;1.39e+00;8.68e-03;0.77 [M+Na+HCOOH]:2451;-2.0e-01;3.1e-03;0.85 | 0 | 0 | NA | |||||
| 2235 | 583.559 | 582.552 | 1252.7 | 0.78 | 9 | 10 | 2.35e-01 | 2 | [13C1]2240;-1.16e-01;1.15e-03;1.00 [13C2]2245;1.5e-01;2.1e-03;1.00 | 0 | 0 | NA | |||||
| 2239 | 584.393 | 583.386 | 913.6 | 1.07 | 9 | 10 | 1.96e-01 | 2 | [13C1]2244;4.13e-02;8.65e-04;0.99 [13C2]2249;1.8e-01;1.3e-03;0.96 | 0 | 0 | NA | |||||
| 2240 | 584.561 | 583.554 | 1252.5 | 0.78 | 9 | 10 | 2.26e-01 | 1 | [13C1]2245;2.68e-01;9.82e-04;1.00 | 1 | [13C#1]2235;1.16e-01;1.15e-03;1.00 | 0 | NA | ||||
| 2242 | 585.272 | 584.264 | 979.1 | 0.53 | 9 | 10 | 1.71e-01 | 1 | [13C1]2247;4.75e-01;9.92e-04;1.00 | 0 | 1 | HMDB00054:7.8e-04/UDP-glucuronosyltr | |||||
| 2243 | 585.289 | 584.281 | 1104.8 | 0.68 | 9 | 10 | 2.98e-01 | 1 | [13C1]2248;9.47e-02;8.61e-03;1.00 | 0 | 1 | HMDB15224:1.8e-03/Solute carrier org | |||||
| 2244 | 585.396 | 584.388 | 913.7 | 1.08 | 9 | 10 | 1.21e-01 | 1 | [13C1]2249;1.40e-01;4.74e-04;0.96 | 1 | [13C#1]2239;4.13e-02;8.65e-04;0.99 | 0 | NA | ||||
| 2248 | 586.283 | 585.276 | 1104.9 | 0.67 | 9 | 10 | 3.01e-01 | 1 | [13C1]2253;6.80e-01;7.49e-03;1.00 | 1 | [13C#1]2243;9.47e-02;8.61e-03;1.00 | 2 | HMDB14700:3.7e-03/Tigecycline HMDB14622:9.6e-03/Amikacin Pathway | ||||
| 2261 | 590.336 | 589.328 | 1505.3 | 1.05 | 9 | 10 | 7.72e-01 | 1 | [13C1]2267;7.74e-01;4.83e-03;0.93 | 0 | 0 | NA | |||||
| 2265 | 591.087 | 590.08 | 1631.7 | 1.75 | 9 | 10 | 1.58e-01 | 2 | [13C1]2269;2.90e-01;1.32e-03;1.00 [13C2]2271;8.7e-02;7.7e-03;1.00 | 0 | 0 | NA | |||||
| 2269 | 592.089 | 591.082 | 1631.9 | 1.75 | 9 | 10 | 1.59e-01 | 1 | [13C2]2274;5.3e-02;9.3e-03;0.99 | 1 | [13C#1]2265;2.90e-01;1.32e-03;1.00 | 0 | NA | ||||
| 2271 | 593.086 | 592.079 | 1631.7 | 1.77 | 9 | 10 | 1.43e-01 | 1 | [13C1]2274;2.56e-01;2.93e-03;0.99 | 1 | [13C#2]2265;8.68e-02;9.96e-01;1.00 | 0 | NA | ||||
| 2281 | 595.414 | 594.407 | 1421.4 | 0.95 | 9 | 10 | 4.11e-01 | 1 | [13C1]2284;0.00e+00;1.66e-03;0.92 | 0 | 0 | NA | |||||
| 2294 | 599.254 | 598.246 | 1197.8 | 1.33 | 9 | 10 | 3.85e-01 | 1 | [13C1]2297;1.68e-01;2.77e-03;0.99 | 0 | 0 | NA | |||||
| 2295 | 599.399 | 598.392 | 970.9 | 1.09 | 9 | 10 | 2.90e-01 | 1 | [13C1]2300;2.85e-01;1.08e-03;0.90 | 0 | 0 | NA | |||||
| 2298 | 600.389 | 599.382 | 853.7 | 1.08 | 9 | 10 | 3.86e-01 | 1 | [13C1]2303;-4.30e-01;6.30e-04;0.99 | 0 | 0 | NA | |||||
| 2302 | 601.268 | 600.261 | 975.4 | 1.14 | 9 | 10 | 6.47e-01 | 1 | [13C1]2306;6.65e-02;5.20e-03;0.90 | 0 | 0 | NA | |||||
| 2310 | 603.294 | 602.287 | 1629.5 | 0.94 | 9 | 10 | 6.23e-01 | 1 | [13C1]2314;1.22e+00;3.17e-03;0.93 | 0 | 0 | NA | |||||
| 2320 | 606.371 | 605.364 | 1408.5 | 1.29 | 9 | 10 | 1.02e-01 | 2 | [13C1]2322;3.57e-02;1.95e-03;1.00 [13C2]2325;-2.2e-02;7.4e-03;0.96 | 0 | 0 | NA | |||||
| 2322 | 607.376 | 606.369 | 1408.5 | 1.28 | 9 | 10 | 7.86e-02 | 1 | [13C1]2325;-5.73e-02;5.49e-03;0.96 | 1 | [13C#1]2320;3.57e-02;1.95e-03;1.00 | 0 | NA | ||||
| 2330 | 610.401 | 609.394 | 1434.8 | 0.97 | 9 | 10 | 7.87e-01 | 1 | [13C1]2333;1.12e-01;5.30e-04;0.95 | 0 | 0 | NA | |||||
| 2349 | 616.461 | 615.454 | 1527 | 1.08 | 9 | 10 | 5.69e-01 | 1 | [13C1]2353;8.20e-01;5.35e-03;0.98 | 0 | 0 | NA | |||||
| 2351 | 617.261 | 616.254 | 1198 | 1.39 | 9 | 10 | 3.38e-01 | 1 | [13C1]2355;-3.62e-01;4.81e-03;0.83 | 0 | 0 | NA | |||||
| 2360 | 619.75 | 618.743 | 975.6 | 0.77 | 9 | 10 | 1.37e-01 | 2 | [13C1]2362;2.88e-01;1.23e-03;0.99 [M+Na]:2423;2.4e-01;1.3e-04;0.90 | 0 | 0 | NA | |||||
| 2372 | 623.404 | 622.396 | 936.9 | 1.07 | 9 | 10 | 1.85e-01 | 2 | [13C1]2374;3.85e-02;1.34e-04;0.98 [13C2]2377;-6.5e-01;8.1e-04;0.94 | 0 | 0 | NA | |||||
| 2374 | 624.407 | 623.4 | 937 | 1.06 | 9 | 10 | 2.18e-01 | 1 | [13C1]2377;-6.87e-01;9.47e-04;0.91 | 1 | [13C#1]2372;3.85e-02;1.34e-04;0.98 | 0 | NA | ||||
| 2379 | 626.353 | 625.346 | 1074.6 | 0.55 | 9 | 10 | 2.92e-01 | 1 | [13C1]2382;-3.85e-01;3.13e-04;1.00 | 0 | 1 | HMDB02579:2.3e-04/UDP-glucuronosyltr | |||||
| 2386 | 629.401 | 628.394 | 1050.9 | 2.64 | 9 | 10 | 1.19e-02 | 2 | [13C1]2388;-2.45e-01;5.66e-04;1.00 [13C2]2392;7.1e-01;2.7e-03;0.96 | 0 | 0 | NA | |||||
| 2388 | 630.404 | 629.397 | 1050.7 | 2.73 | 9 | 10 | 1.40e-02 | 1 | [13C1]2392;9.52e-01;3.26e-03;0.96 | 1 | [13C#1]2386;2.45e-01;5.66e-04;1.00 | 0 | NA | ||||
| 2390 | 630.741 | 629.734 | 975.9 | 0.77 | 9 | 10 | 1.32e-01 | 1 | [13C1]2394;2.37e-02;4.77e-03;0.99 | 0 | 0 | NA | |||||
| 2403 | 634.874 | 633.867 | 389.7 | 0.99 | 9 | 10 | 4.62e-01 | 2 | [13C1]2404;3.14e-01;4.27e-03;0.80 [M+Na+HCOOH]:2584;0.0e+00;1.1e-04;0.97 | 1 | [M+Na+HCOOH]2165;3.86e-01;6.69e-04;0.91 | 0 | NA | ||||
| 2416 | 639.471 | 638.464 | 1104.8 | 2.99 | 9 | 10 | 7.31e-02 | 1 | [13C1]2419;2.94e-01;2.88e-03;1.00 | 0 | 0 | NA | |||||
| 2417 | 639.621 | 638.614 | 1420.7 | 0.45 | 9 | 10 | 1.70e-02 | 1 | [13C1]2421;3.81e-02;1.36e-03;0.98 | 0 | 0 | NA | |||||
| 2437 | 646.711 | 645.703 | 976.2 | 0.77 | 9 | 10 | 1.71e-01 | 1 | [13C1]2441;-2.88e-01;2.52e-03;0.99 | 0 | 0 | NA | |||||
| 2440 | 647.454 | 646.447 | 1102.8 | 1.73 | 9 | 10 | 1.68e-01 | 2 | [13C1]2444;1.73e-01;1.40e-04;1.00 [13C2]2447;4.7e-02;7.1e-03;1.00 | 0 | 0 | NA | |||||
| 2444 | 648.457 | 647.45 | 1103 | 1.69 | 9 | 10 | 1.62e-01 | 1 | [13C2]2450;-3.4e-01;9.3e-03;1.00 | 1 | [13C#1]2440;1.73e-01;1.40e-04;1.00 | 0 | NA | ||||
| 2447 | 649.454 | 648.447 | 1102.9 | 1.68 | 9 | 10 | 1.71e-01 | 1 | [13C1]2450;-2.11e-01;2.32e-03;1.00 | 1 | [13C#2]2440;4.66e-02;9.96e-01;1.00 | 0 | NA | ||||
| 2452 | 651.573 | 650.566 | 1785.2 | 1.04 | 9 | 9 | 8.92e-01 | 2 | [13C1]2454;-3.11e-01;3.67e-03;0.99 [M+3H]:2458;1.7e+00;3.1e-03;0.98 | 0 | 0 | NA | |||||
| 2458 | 653.591 | 652.583 | 1786.9 | 1.06 | 9 | 10 | 8.64e-01 | 1 | [13C1]2461;-7.72e-01;3.02e-06;1.00 | 1 | [M+3H]2452;1.71e+00;3.14e-03;0.98 | 0 | NA | ||||
| 2463 | 655.032 | 654.025 | 1748.5 | 1.22 | 9 | 10 | 3.80e-01 | 1 | [13C1]2466;-8.98e-02;2.07e-03;0.99 | 0 | 0 | NA | |||||
| 2468 | 657.029 | 656.022 | 1748.4 | 1.23 | 9 | 10 | 3.36e-01 | 1 | [13C1]2473;-3.85e-02;8.15e-04;0.99 | 0 | 0 | NA | |||||
| 2476 | 659.389 | 658.382 | 1785.3 | 1.06 | 9 | 10 | 5.64e-01 | 1 | [13C1]2478;1.00e-01;6.69e-03;0.98 | 0 | 0 | NA | |||||
| 2485 | 662.57 | 661.563 | 1268.5 | 0.73 | 9 | 10 | 6.05e-03 | 1 | [13C1]2489;-1.58e-01;7.36e-03;0.96 | 0 | 0 | NA | |||||
| 2488 | 663.269 | 662.262 | 964.9 | 1.07 | 9 | 10 | 7.28e-01 | 1 | [13C1]2491;-1.11e-01;4.50e-04;0.96 | 0 | 0 | NA | |||||
| 2497 | 667.463 | 666.455 | 943.2 | 0.95 | 9 | 10 | 2.10e-01 | 1 | [13C1]2500;6.74e-01;2.54e-03;0.80 | 0 | 0 | NA | |||||
| 2514 | 673.428 | 672.421 | 1050 | 3.41 | 9 | 7 | 7.03e-03 | 1 | [13C1]2517;0.00e+00;5.41e-04;1.00 | 0 | 0 | NA | |||||
| 2525 | 676.545 | 675.538 | 1787.5 | 1.13 | 9 | 10 | 7.48e-01 | 1 | [13C1]2528;-5.78e-01;6.28e-03;0.96 | 0 | 0 | NA | |||||
| 2533 | 679.51 | 678.503 | 969.8 | 1.14 | 9 | 10 | 5.88e-02 | 2 | [13C1]2535;0.00e+00;1.25e-04;1.00 [13C2]2537;3.2e-02;1.5e-04;1.00 | 0 | 0 | NA | |||||
| 2535 | 680.513 | 679.506 | 969.8 | 1.15 | 9 | 10 | 5.38e-02 | 1 | [13C1]2537;3.21e-02;2.87e-05;0.99 | 1 | [13C#1]2533;0.00e+00;1.25e-04;1.00 | 0 | NA | ||||
| 2540 | 682.616 | 681.609 | 1421.7 | 0.97 | 9 | 10 | 8.34e-01 | 1 | [13C1]2542;1.59e-01;5.48e-05;0.99 | 0 | 0 | NA | |||||
| 2570 | 697.52 | 696.513 | 945.9 | 1.29 | 9 | 10 | 4.39e-02 | 1 | [13C1]2573;2.67e-01;4.74e-03;0.97 | 0 | 0 | NA | |||||
| 2575 | 699.284 | 698.277 | 968 | 0.4 | 9 | 10 | 6.35e-03 | 1 | [13C1]2577;7.82e-01;3.80e-03;0.97 | 0 | 0 | NA | |||||
| 2579 | 701.492 | 700.485 | 969.5 | 1.06 | 9 | 10 | 5.02e-01 | 2 | [13C1]2582;0.00e+00;1.71e-04;1.00 [13C2]2585;0.0e+00;1.8e-04;1.00 | 0 | 0 | NA | |||||
| 2580 | 701.56 | 700.553 | 1785.5 | 1.37 | 9 | 9 | 5.12e-01 | 1 | [13C1]2583;8.66e-03;4.58e-04;1.00 | 0 | 0 | NA | |||||
| 2582 | 702.496 | 701.489 | 969.5 | 1.06 | 9 | 10 | 5.03e-01 | 2 | [13C1]2585;0.00e+00;3.48e-04;1.00 [13C2]2588;0.0e+00;3.5e-04;0.99 | 1 | [13C#1]2579;0.00e+00;1.71e-04;1.00 | 0 | NA | ||||
| 2584 | 702.862 | 701.855 | 389.7 | 0.99 | 9 | 10 | 3.84e-01 | 2 | [13C1]2587;0.00e+00;3.35e-03;0.93 [M+Na+HCOOH]:2738;-2.0e-01;2.8e-04;0.98 | 1 | [M+Na+HCOOH]2403;0.00e+00;1.08e-04;0.97 | 0 | NA | ||||
| 2585 | 703.499 | 702.492 | 969.5 | 1.06 | 9 | 10 | 4.87e-01 | 1 | [13C1]2588;0.00e+00;4.68e-07;0.99 | 2 | [13C#1]2582;0.00e+00;3.48e-04;1.00 [13C#2]2579;0.00e+00;1.00e+00;1.00 | 0 | NA | ||||
| 2586 | 703.576 | 702.568 | 1783.6 | 0.58 | 9 | 10 | 2.91e-01 | 4 | [13C1]2590;8.20e-01;5.66e-04;1.00 [13C2]2592;1.3e+00;1.7e-03;0.97 [M+Na]:2634;1.8e+00;5.6e-03;0.99 [M+CF3COOH]:2885;2.7e+00;7.1e-04;0.77 | 0 | 1 | HMDB13464:9.3e-04/Glycolipid transfe | |||||
| 2590 | 704.58 | 703.572 | 1784.4 | 0.57 | 9 | 9 | 2.96e-01 | 1 | [13C1]2592;4.36e-01;1.12e-03;0.96 | 1 | [13C#1]2586;8.20e-01;5.66e-04;1.00 | 1 | HMDB12098:3.0e-03/Glycolipid transfe | ||||
| 2610 | 715.28 | 714.273 | 1481.8 | 1.02 | 9 | 10 | 8.09e-01 | 1 | [13C1]2613;-9.02e-02;2.23e-03;0.97 | 0 | 0 | NA | |||||
| 2615 | 717.469 | 716.462 | 969.9 | 1.08 | 9 | 10 | 3.17e-01 | 2 | [13C1]2617;5.51e-01;3.89e-03;0.94 [13C2]2622;2.4e-01;6.8e-03;0.93 | 0 | 0 | NA | |||||
| 2617 | 718.469 | 717.461 | 970.4 | 1.08 | 9 | 10 | 1.92e-01 | 1 | [13C1]2622;-3.07e-01;2.95e-03;0.91 | 1 | [13C#1]2615;5.51e-01;3.89e-03;0.94 | 0 | NA | ||||
| 2633 | 725.472 | 724.465 | 1102.9 | 1.45 | 9 | 10 | 2.38e-01 | 2 | [13C1]2636;-1.39e-02;2.05e-03;1.00 [13C2]2639;-1.1e-01;2.4e-03;0.99 | 0 | 0 | NA | |||||
| 2634 | 725.552 | 724.545 | 1785.3 | 0.71 | 9 | 9 | 4.39e-01 | 1 | [13C1]2637;1.76e-01;2.11e-03;0.95 | 1 | [M+Na]2586;1.78e+00;5.58e-03;0.99 | 0 | NA | ||||
| 2636 | 726.473 | 725.466 | 1102.9 | 1.43 | 9 | 10 | 2.36e-01 | 1 | [13C1]2639;-9.33e-02;3.57e-04;1.00 | 1 | [13C#1]2633;1.39e-02;2.05e-03;1.00 | 0 | NA | ||||
| 2663 | 739.608 | 738.6 | 1785.6 | 1.24 | 9 | 10 | 3.85e-01 | 2 | [13C1]2666;0.00e+00;4.38e-04;1.00 [13C2]2669;-8.4e-03;1.6e-03;1.00 | 0 | 0 | NA | |||||
| 2666 | 740.61 | 739.603 | 1785.6 | 1.24 | 9 | 10 | 3.90e-01 | 1 | [13C1]2669;-8.38e-03;1.14e-03;1.00 | 1 | [13C#1]2663;0.00e+00;4.38e-04;1.00 | 0 | NA | ||||
| 2675 | 744.565 | 743.557 | 1784.9 | 1.3 | 9 | 10 | 3.77e-01 | 2 | [13C1]2677;-4.84e-01;3.22e-03;0.99 [M+H+HCOOH]:2778;2.5e+00;7.3e-03;0.78 | 0 | 0 | NA | |||||
| 2687 | 750.544 | 749.536 | 1786.3 | 1.26 | 8 | 8 | 5.45e-01 | 1 | [13C1]2689;6.26e-02;2.19e-03;0.97 | 0 | 0 | NA | |||||
| 2693 | 752.597 | 751.59 | 969.9 | 1 | 9 | 10 | 9.61e-01 | 1 | [13C1]2695;7.24e-02;5.02e-04;0.90 | 0 | 0 | NA | |||||
| 2697 | 754.539 | 753.532 | 1785.5 | 0.68 | 8 | 8 | 3.17e-01 | 1 | [13C1]2699;3.87e-01;4.30e-03;1.00 | 0 | 14 | HMDB07915:8.0e-04/Group XV phospholi HMDB08459:8.0e-04/Uteroglobin HMDB07883:8.0e-04/Group XV phospholi HMDB08167:8.0e-04/Uteroglobin HMDB08362:8.0e-04/Uteroglobin HMDB08395:8.0e-04/Uteroglobin HMDB08200:8.0e-04/Uteroglobin HMDB08007:8.0e-04/Uteroglobin HMDB07914:8.0e-04/Group XV phospholi HMDB08426:8.0e-04/Uteroglobin HMDB08008:8.0e-04/Uteroglobin HMDB07884:8.0e-04/Group XV phospholi HMDB08232:8.0e-04/Uteroglobin HMDB07976:8.0e-04/Uteroglobin | |||||
| 2701 | 756.555 | 755.548 | 1784.4 | 0.93 | 6 | 9 | 8.85e-01 | 1 | [13C1]2704;9.12e-01;5.09e-05;1.00 | 0 | 12 | HMDB08394:1.6e-03/Uteroglobin HMDB08361:1.6e-03/Uteroglobin HMDB08199:1.6e-03/Uteroglobin HMDB08006:1.6e-03/Uteroglobin HMDB07913:1.6e-03/Group XV phospholi HMDB08134:1.6e-03/Uteroglobin HMDB08166:1.6e-03/Uteroglobin HMDB08329:1.6e-03/Uteroglobin HMDB07882:1.6e-03/Group XV phospholi HMDB07974:1.6e-03/Uteroglobin HMDB07975:1.6e-03/Uteroglobin HMDB07881:1.6e-03/Group XV phospholi | |||||
| 2707 | 758.562 | 757.555 | 1785.3 | 0.61 | 7 | 8 | 6.64e-01 | 1 | [13C1]2709;9.07e-01;6.61e-03;1.00 | 0 | 10 | HMDB08068:7.6e-03/Uteroglobin HMDB07880:7.6e-03/Group XV phospholi HMDB07912:7.6e-03/Group XV phospholi HMDB08133:7.6e-03/Uteroglobin HMDB08296:7.6e-03/Uteroglobin HMDB08328:7.6e-03/Uteroglobin HMDB08005:7.6e-03/Uteroglobin HMDB08004:7.6e-03/Uteroglobin HMDB07973:7.6e-03/Uteroglobin HMDB08101:7.6e-03/Uteroglobin | |||||
| 2709 | 759.559 | 758.551 | 1786.3 | 0.6 | 7 | 8 | 6.60e-01 | 1 | [13C2]2712;1.5e+00;5.5e-03;1.00 | 1 | [13C#1]2707;9.07e-01;6.61e-03;1.00 | 0 | NA | ||||
| 2710 | 760.552 | 759.545 | 1786.3 | 0.62 | 8 | 8 | 6.65e-01 | 2 | [13C1]2712;1.47e+00;4.71e-03;1.00 [13C2]2715;3.6e-01;2.0e-03;0.94 | 0 | 0 | NA | |||||
| 2712 | 761.56 | 760.553 | 1787.7 | 0.55 | 2 | 6 | 5.75e-01 | 1 | [13C1]2715;-1.11e+00;2.69e-03;0.98 | 2 | [13C#1]2710;1.47e+00;4.71e-03;1.00 [13C#2]2709;1.47e+00;9.98e-01;1.00 | 0 | NA | ||||
| 2720 | 764.542 | 763.535 | 1784.5 | 1.09 | 9 | 10 | 6.99e-01 | 1 | [13C1]2722;-1.72e-01;7.24e-03;0.96 | 0 | 2 | HMDB12356:1.3e-03/Lactadherin HMDB12376:1.3e-03/Lactadherin | |||||
| 2728 | 767.491 | 766.484 | 1449.8 | 1.47 | 9 | 10 | 7.92e-02 | 1 | [13C1]2731;-2.25e-01;1.57e-03;0.89 | 0 | 0 | NA | |||||
| 2732 | 768.555 | 767.548 | 1785.8 | 1.09 | 7 | 8 | 8.25e-01 | 1 | [13C1]2735;4.58e-01;3.20e-03;0.99 | 0 | 0 | NA | |||||
| 2738 | 770.849 | 769.842 | 389.5 | 0.98 | 9 | 10 | 4.29e-01 | 2 | [13C1]2741;0.00e+00;4.52e-04;0.88 [M+Na+HCOOH]:2892;-1.7e-02;3.1e-04;0.94 | 1 | [M+Na+HCOOH]2584;2.01e-01;2.80e-04;0.98 | 0 | NA | ||||
| 2739 | 770.968 | 769.961 | 1654.1 | 0.83 | 9 | 10 | 2.68e-01 | 1 | [13C1]2742;0.00e+00;1.60e-03;0.99 | 0 | 0 | NA | |||||
| 2743 | 772.55 | 771.543 | 1785.3 | 0.95 | 9 | 10 | 7.78e-01 | 1 | [13C1]2745;1.01e+00;1.80e-03;0.98 | 0 | 0 | NA | |||||
| 2747 | 774.564 | 773.557 | 1784.2 | 0.82 | 9 | 10 | 6.92e-01 | 3 | [13C1]2749;-2.11e-01;2.89e-04;1.00 [13C2]2751;2.1e+00;2.1e-03;0.97 [M+Na]:2791;1.6e+00;2.6e-03;0.84 | 0 | 0 | NA | |||||
| 2749 | 775.567 | 774.56 | 1784 | 0.81 | 9 | 10 | 6.58e-01 | 1 | [13C1]2751;2.29e+00;1.84e-03;0.97 | 1 | [13C#1]2747;2.11e-01;2.89e-04;1.00 | 0 | NA | ||||
| 2754 | 778.54 | 777.533 | 1785.6 | 0.9 | 8 | 8 | 7.09e-01 | 1 | [13C1]2756;7.82e-01;1.57e-03;0.99 | 0 | 14 | HMDB08237:2.1e-03/Uteroglobin HMDB07892:2.1e-03/Group XV phospholi HMDB07923:2.1e-03/Group XV phospholi HMDB08205:2.1e-03/Uteroglobin HMDB08206:2.1e-03/Uteroglobin HMDB08722:2.1e-03/Uteroglobin HMDB08173:2.1e-03/Uteroglobin HMDB08017:2.1e-03/Uteroglobin HMDB08690:2.1e-03/Uteroglobin HMDB08142:2.1e-03/Uteroglobin HMDB08496:2.1e-03/Uteroglobin HMDB07924:2.1e-03/Group XV phospholi HMDB08172:2.1e-03/Uteroglobin HMDB08657:2.1e-03/Uteroglobin | |||||
| 2758 | 780.554 | 779.547 | 1784.4 | 0.55 | 9 | 9 | 2.51e-01 | 1 | [13C1]2760;5.43e-01;6.26e-04;1.00 | 0 | 1 | HMDB07890:4.5e-04/Group XV phospholi | |||||
| 2762 | 782.57 | 781.563 | 1785.4 | 2.3 | 9 | 9 | 2.34e-01 | 3 | [13C1]2763;2.44e-01;5.58e-04;1.00 [13C2]2765;1.3e-01;1.0e-03;0.72 [M+Na]:2808;-7.7e-02;3.2e-03;0.98 | 0 | 21 | HMDB08203:5.7e-04/Uteroglobin HMDB08462:5.7e-04/Uteroglobin HMDB08398:5.7e-04/Uteroglobin HMDB07889:5.7e-04/Group XV phospholi HMDB08365:5.7e-04/Uteroglobin HMDB08234:5.7e-04/Uteroglobin HMDB08623:5.7e-04/Uteroglobin HMDB08429:5.7e-04/Uteroglobin HMDB08202:5.7e-04/Uteroglobin HMDB08013:5.7e-04/Uteroglobin HMDB08169:5.7e-04/Uteroglobin HMDB07983:5.7e-04/Uteroglobin HMDB07982:5.7e-04/Uteroglobin HMDB08170:5.7e-04/Uteroglobin HMDB08042:5.7e-04/Uteroglobin HMDB08138:5.7e-04/Uteroglobin HMDB08106:5.7e-04/Uteroglobin HMDB08107:5.7e-04/Uteroglobin HMDB08074:5.7e-04/Uteroglobin HMDB08073:5.7e-04/Uteroglobin HMDB08014:5.7e-04/Uteroglobin | |||||
| 2763 | 783.574 | 782.567 | 1785.6 | 2.4 | 9 | 9 | 2.24e-01 | 1 | [13C1]2765;-1.17e-01;4.53e-04;0.70 | 1 | [13C#1]2762;2.44e-01;5.58e-04;1.00 | 0 | NA | ||||
| 2765 | 784.578 | 783.57 | 1785.5 | 1.98 | 8 | 8 | 3.32e-01 | 2 | [13C1]2766;-2.38e-01;4.83e-04;0.94 [13C2]2768;0.0e+00;1.7e-03;0.93 | 2 | [13C#1]2763;1.17e-01;4.53e-04;0.70 [13C#2]2762;1.26e-01;1.00e+00;0.72 | 16 | HMDB07981:7.4e-03/Uteroglobin HMDB08040:7.4e-03/Uteroglobin HMDB08201:7.4e-03/Uteroglobin HMDB08012:7.4e-03/Uteroglobin HMDB08137:7.4e-03/Uteroglobin HMDB08168:7.4e-03/Uteroglobin HMDB08136:7.4e-03/Uteroglobin HMDB08332:7.4e-03/Uteroglobin HMDB08105:7.4e-03/Uteroglobin HMDB07980:7.4e-03/Uteroglobin HMDB08364:7.4e-03/Uteroglobin HMDB08397:7.4e-03/Uteroglobin HMDB08072:7.4e-03/Uteroglobin HMDB07921:7.4e-03/Group XV phospholi HMDB08591:7.4e-03/Uteroglobin HMDB08041:7.4e-03/Uteroglobin | ||||
| 2766 | 785.582 | 784.574 | 1785.3 | 1.71 | 9 | 10 | 4.88e-01 | 1 | [13C1]2768;2.38e-01;2.16e-03;1.00 | 1 | [13C#1]2765;2.38e-01;4.83e-04;0.94 | 0 | NA | ||||
| 2769 | 786.585 | 785.578 | 970.1 | 0.91 | 9 | 10 | 6.03e-01 | 1 | [13C1]2772;-9.81e-02;5.34e-04;0.72 | 0 | 0 | NA | |||||
| 2778 | 790.563 | 789.556 | 1787.4 | 1.15 | 9 | 10 | 5.75e-01 | 2 | [13C1]2780;1.08e-01;1.21e-03;1.00 [M+Na]:2830;-1.0e+00;1.9e-03;0.75 | 1 | [M+H+HCOOH]2675;2.45e+00;7.30e-03;0.78 | 2 | HMDB12389:3.5e-03/Lactadherin HMDB10163:3.5e-03/Lactadherin | ||||
| 2783 | 792.564 | 791.556 | 1786.5 | 1.19 | 8 | 9 | 7.03e-01 | 1 | [13C1]2785;-7.01e-02;8.96e-03;1.00 | 0 | 0 | NA | |||||
| 2786 | 794.547 | 793.54 | 1786.5 | 1.18 | 9 | 8 | 5.13e-01 | 1 | [13C1]2789;1.70e+00;6.81e-03;0.94 | 0 | 0 | NA | |||||
| 2791 | 796.549 | 795.541 | 1785.8 | 0.88 | 9 | 10 | 6.45e-01 | 1 | [13C1]2794;-2.79e-01;4.73e-04;1.00 | 1 | [M+Na]2747;1.59e+00;2.56e-03;0.84 | 0 | NA | ||||
| 2801 | 800.592 | 799.585 | 1783.5 | 1.03 | 9 | 10 | 8.17e-01 | 1 | [13C1]2803;7.75e-01;3.26e-03;0.99 | 0 | 0 | NA | |||||
| 2804 | 802.591 | 801.584 | 1784.5 | 1.05 | 9 | 10 | 8.82e-01 | 2 | [13C1]2806;8.49e-01;5.18e-04;1.00 [M+2Na-H]:2907;1.6e+00;4.9e-03;0.71 | 0 | 0 | NA | |||||
| 2808 | 804.555 | 803.548 | 1785.3 | 1.9 | 9 | 9 | 1.99e-01 | 1 | [13C1]2811;9.75e-01;3.25e-04;1.00 | 1 | [M+Na]2762;7.70e-02;3.23e-03;0.98 | 0 | NA | ||||
| 2813 | 806.57 | 805.562 | 1786.3 | 1.19 | 9 | 9 | 7.83e-01 | 1 | [13C1]2816;-5.39e-01;1.26e-04;1.00 | 0 | 25 | HMDB08693:2.1e-04/Uteroglobin HMDB08083:2.1e-04/Uteroglobin HMDB08371:2.1e-04/Uteroglobin HMDB08467:2.1e-04/Uteroglobin HMDB07991:2.1e-04/Uteroglobin HMDB08211:2.1e-04/Uteroglobin HMDB08212:2.1e-04/Uteroglobin HMDB08370:2.1e-04/Uteroglobin HMDB08339:2.1e-04/Uteroglobin HMDB08434:2.1e-04/Uteroglobin HMDB08147:2.1e-04/Uteroglobin HMDB08660:2.1e-04/Uteroglobin HMDB08024:2.1e-04/Uteroglobin HMDB08148:2.1e-04/Uteroglobin HMDB08022:2.1e-04/Uteroglobin HMDB08403:2.1e-04/Uteroglobin HMDB08499:2.1e-04/Uteroglobin HMDB08179:2.1e-04/Uteroglobin HMDB08404:2.1e-04/Uteroglobin HMDB08178:2.1e-04/Uteroglobin HMDB08243:2.1e-04/Uteroglobin HMDB08498:2.1e-04/Uteroglobin HMDB08116:2.1e-04/Uteroglobin HMDB08725:2.1e-04/Uteroglobin HMDB00173:7.2e-03/Glycolipid transfe | |||||
| 2818 | 808.577 | 807.569 | 1785.5 | 1.86 | 9 | 10 | 3.45e-01 | 3 | [13C1]2821;3.79e-01;4.16e-03;0.99 [13C2]2824;1.5e+00;9.8e-04;0.98 [M+Na]:2871;2.6e-01;5.9e-03;0.79 | 0 | 26 | HMDB07990:8.4e-03/Uteroglobin HMDB08402:8.4e-03/Uteroglobin HMDB08146:8.4e-03/Uteroglobin HMDB08465:8.4e-03/Uteroglobin HMDB08139:8.4e-03/Uteroglobin HMDB08466:8.4e-03/Uteroglobin HMDB08338:8.4e-03/Uteroglobin HMDB08081:8.4e-03/Uteroglobin HMDB08082:8.4e-03/Uteroglobin HMDB08692:8.4e-03/Uteroglobin HMDB08242:8.4e-03/Uteroglobin HMDB08306:8.4e-03/Uteroglobin HMDB08337:8.4e-03/Uteroglobin HMDB08369:8.4e-03/Uteroglobin HMDB08627:8.4e-03/Uteroglobin HMDB08177:8.4e-03/Uteroglobin HMDB08114:8.4e-03/Uteroglobin HMDB08021:8.4e-03/Uteroglobin HMDB08432:8.4e-03/Uteroglobin HMDB08115:8.4e-03/Uteroglobin HMDB07989:8.4e-03/Uteroglobin HMDB08210:8.4e-03/Uteroglobin HMDB08050:8.4e-03/Uteroglobin HMDB08433:8.4e-03/Uteroglobin HMDB08497:8.4e-03/Uteroglobin HMDB08659:8.4e-03/Uteroglobin | |||||
| 2820 | 808.983 | 807.976 | 1530.6 | 1.21 | 9 | 10 | 2.80e-01 | 2 | [13C1]2823;1.15e+00;5.41e-04;0.80 [13C2]2826;3.4e-01;3.3e-03;0.92 | 0 | 0 | NA | |||||
| 2821 | 809.584 | 808.577 | 1785.8 | 1.97 | 8 | 8 | 3.41e-01 | 1 | [13C1]2824;1.13e+00;5.13e-03;0.99 | 1 | [13C#1]2818;3.79e-01;4.16e-03;0.99 | 0 | NA | ||||
| 2824 | 810.582 | 809.575 | 1787 | 1.49 | 9 | 10 | 3.58e-01 | 1 | [13C1]2828;9.87e-01;5.74e-03;0.99 | 2 | [13C#1]2821;1.13e+00;5.13e-03;0.99 [13C#2]2818;1.51e+00;1.00e+00;0.98 | 0 | NA | ||||
| 2834 | 814.564 | 813.556 | 1785.3 | 1.34 | 9 | 9 | 1.12e-01 | 2 | [13C1]2836;1.29e+00;4.31e-03;0.98 [M+3H]:2838;3.5e-02;4.2e-03;0.74 | 0 | 2 | HMDB12382:4.4e-03/Lactadherin HMDB12422:4.4e-03/Lactadherin | |||||
| 2838 | 816.574 | 815.567 | 1785.3 | 1.13 | 9 | 10 | 5.19e-01 | 2 | [13C1]2839;-9.35e-02;3.93e-04;0.99 [M+Na]:2891;1.2e+00;3.9e-03;0.73 | 1 | [M+3H]2834;3.48e-02;4.22e-03;0.74 | 0 | NA | ||||
| 2840 | 818.57 | 817.563 | 1786 | 1.09 | 8 | 8 | 8.02e-01 | 1 | [13C1]2845;3.55e-01;2.30e-03;0.99 | 0 | 0 | NA | |||||
| 2847 | 820.549 | 819.542 | 1786.3 | 1.25 | 9 | 9 | 4.50e-01 | 1 | [13C1]2850;0.00e+00;3.09e-06;1.00 | 0 | 0 | NA | |||||
| 2852 | 822.565 | 821.557 | 1785.3 | 0.91 | 9 | 10 | 6.59e-01 | 3 | [13C1]2855;-8.68e-03;5.59e-04;1.00 [13C2]2857;5.9e-02;6.4e-03;0.76 [M+Na]:2904;9.6e-01;3.5e-03;0.95 | 0 | 0 | NA | |||||
| 2857 | 824.578 | 823.57 | 1785.4 | 1.05 | 9 | 10 | 7.55e-01 | 1 | [13C1]2859;1.70e-01;1.76e-03;0.99 | 1 | [13C#2]2852;5.86e-02;1.01e+00;0.76 | 0 | NA | ||||
| 2861 | 826.594 | 825.587 | 1785.5 | 1.28 | 9 | 9 | 4.15e-01 | 2 | [13C1]2864;3.64e-02;1.45e-03;1.00 [M+Na]:2915;7.7e-01;7.0e-04;0.85 | 0 | 0 | NA | |||||
| 2866 | 828.564 | 827.557 | 1786.1 | 1.15 | 9 | 9 | 7.73e-01 | 1 | [13C1]2868;1.36e-01;4.43e-03;1.00 | 0 | 0 | NA | |||||
| 2871 | 830.565 | 829.557 | 1785.7 | 1.15 | 9 | 10 | 5.43e-01 | 2 | [13C1]2874;7.70e-01;2.72e-03;0.98 [M+3H]:2876;1.3e-01;1.7e-03;0.77 | 1 | [M+Na]2818;2.55e-01;5.92e-03;0.79 | 0 | NA | ||||
| 2876 | 832.581 | 831.574 | 1785.8 | 1.28 | 9 | 9 | 5.04e-01 | 2 | [13C1]2878;4.14e-01;2.92e-03;1.00 [M+3H]:2880;-1.6e+00;4.1e-03;0.75 | 1 | [M+3H]2871;1.32e-01;1.68e-03;0.77 | 0 | NA | ||||
| 2880 | 834.599 | 833.592 | 1784.3 | 1.07 | 9 | 10 | 7.68e-01 | 1 | [13C1]2883;7.74e-01;2.42e-03;0.98 | 1 | [M+3H]2876;1.57e+00;4.11e-03;0.75 | 0 | NA | ||||
| 2885 | 836.562 | 835.555 | 1786.3 | 1.01 | 9 | 9 | 9.30e-01 | 2 | [13C1]2888;6.16e-01;6.70e-03;0.85 [M+NH3]:2925;-3.2e-01;2.0e-03;0.86 | 1 | [M+CF3COOH]2586;2.70e+00;7.05e-04;0.77 | 0 | NA | ||||
| 2891 | 838.56 | 837.553 | 1786.5 | 1.07 | 9 | 9 | 7.57e-01 | 2 | [13C1]2893;-8.37e-01;3.34e-03;0.95 [13C2]2895;-1.2e+00;6.5e-03;0.80 | 1 | [M+Na]2838;1.18e+00;3.89e-03;0.73 | 1 | HMDB10166:5.7e-04/Lactadherin | ||||
| 2892 | 838.836 | 837.829 | 389.5 | 0.99 | 9 | 10 | 5.13e-01 | 2 | [13C1]2894;3.12e-01;6.21e-03;0.87 [M+Na+HCOOH]:3014;-3.5e-02;1.3e-03;0.90 | 1 | [M+Na+HCOOH]2738;1.65e-02;3.08e-04;0.94 | 0 | NA | ||||
| 2893 | 839.567 | 838.559 | 1785.7 | 1 | 9 | 10 | 9.94e-01 | 1 | [13C2]2897;6.9e-01;5.2e-03;0.83 | 1 | [13C#1]2891;8.37e-01;3.34e-03;0.95 | 2 | HMDB09805:2.1e-03/Arf-GAP with SH3 d HMDB09781:2.1e-03/Arf-GAP with SH3 d | ||||
| 2895 | 840.573 | 839.566 | 1785.3 | 1.11 | 9 | 9 | 5.86e-01 | 2 | [13C1]2897;1.04e+00;1.99e-03;0.98 [13C2]2899;2.8e-01;6.7e-03;0.83 | 1 | [13C#2]2891;1.18e+00;1.01e+00;0.80 | 0 | NA | ||||
| 2899 | 842.586 | 841.579 | 1785.6 | 0.98 | 8 | 8 | 9.35e-01 | 1 | [13C1]2902;-5.62e-02;9.49e-04;0.98 | 1 | [13C#2]2895;2.84e-01;1.01e+00;0.83 | 0 | NA | ||||
| 2906 | 846.443 | 845.436 | 1482.7 | 1 | 9 | 10 | 9.76e-01 | 2 | [13C1]2910;-4.71e-02;4.58e-04;1.00 [13C2]2914;0.0e+00;4.8e-04;0.99 | 0 | 0 | NA | |||||
| 2907 | 846.56 | 845.552 | 1786.2 | 1.2 | 9 | 9 | 2.94e-01 | 2 | [13C1]2912;1.37e-01;5.55e-04;0.97 [M+3H]:2915;9.2e-02;1.6e-03;0.91 | 1 | [M+2Na-H]2804;1.65e+00;4.88e-03;0.71 | 0 | NA | ||||
| 2910 | 847.447 | 846.44 | 1482.7 | 0.99 | 9 | 10 | 9.21e-01 | 2 | [13C1]2914;4.71e-02;2.63e-05;0.99 [13C2]2917;-3.3e-02;2.6e-03;0.87 | 1 | [13C#1]2906;4.71e-02;4.58e-04;1.00 | 1 | HMDB14753:1.8e-03/Heat shock protein | ||||
| 2914 | 848.45 | 847.443 | 1482.7 | 1.01 | 9 | 10 | 8.90e-01 | 1 | [13C1]2917;-8.06e-02;2.57e-03;0.84 | 2 | [13C#1]2910;4.71e-02;2.63e-05;0.99 [13C#2]2906;0.00e+00;1.00e+00;0.99 | 0 | NA | ||||
| 2915 | 848.576 | 847.568 | 1786.3 | 1.01 | 9 | 10 | 9.46e-01 | 2 | [13C1]2918;1.11e-02;1.70e-03;0.99 [M+3H]:2920;-1.9e+00;2.4e-03;0.91 | 2 | [M+3H]2907;9.20e-02;1.56e-03;0.91 [M+Na]2861;7.75e-01;7.02e-04;0.85 | 0 | NA | ||||
| 2920 | 850.593 | 849.585 | 1784.4 | 0.99 | 9 | 10 | 9.72e-01 | 2 | [13C1]2923;1.78e-01;2.41e-04;0.99 [M+Na]:2973;1.9e+00;2.2e-03;0.76 | 1 | [M+3H]2915;1.92e+00;2.40e-03;0.91 | 0 | NA | ||||
| 2922 | 851.398 | 850.39 | 1482.5 | 1.02 | 9 | 10 | 8.96e-01 | 2 | [13C1]2924;0.00e+00;1.91e-04;1.00 [13C2]2927;-1.4e-01;1.7e-04;1.00 | 0 | 0 | NA | |||||
| 2924 | 852.401 | 851.394 | 1482.5 | 1.01 | 9 | 10 | 9.34e-01 | 2 | [13C1]2927;-1.45e-01;2.55e-05;1.00 [13C2]2929;-1.4e-01;6.2e-03;0.98 | 1 | [13C#1]2922;0.00e+00;1.91e-04;1.00 | 0 | NA | ||||
| 2927 | 853.405 | 852.397 | 1482.3 | 1.01 | 9 | 10 | 9.21e-01 | 1 | [13C1]2929;0.00e+00;6.24e-03;0.98 | 2 | [13C#1]2924;1.45e-01;2.55e-05;1.00 [13C#2]2922;1.45e-01;1.00e+00;1.00 | 0 | NA | ||||
| 2930 | 854.567 | 853.559 | 1787.6 | 1.11 | 9 | 10 | 3.95e-01 | 2 | [13C1]2934;-1.02e+00;3.51e-03;0.81 [M+3H]:2938;-1.4e+00;6.1e-03;0.93 | 0 | 0 | NA | |||||
| 2931 | 854.828 | 853.821 | 390.5 | 0.99 | 9 | 10 | 7.80e-01 | 2 | [13C1]2935;1.22e-01;3.60e-03;0.77 [M+Na+HCOOH]:3036;-9.0e-02;7.6e-03;0.70 | 0 | 0 | NA | |||||
| 2933 | 855.51 | 854.503 | 1478.9 | 1.02 | 9 | 10 | 9.07e-01 | 1 | [13C1]2936;-2.90e-01;5.32e-04;0.99 | 0 | 0 | NA | |||||
| 2937 | 856.525 | 855.518 | 1563 | 1.08 | 9 | 10 | 5.69e-01 | 1 | [13C1]2941;4.13e-01;2.15e-03;0.94 | 0 | 0 | NA | |||||
| 2938 | 856.575 | 855.568 | 1786.2 | 1.08 | 9 | 10 | 5.24e-01 | 2 | [13C1]2942;6.60e-02;2.65e-03;0.95 [13C2]2944;1.2e-01;3.1e-03;0.85 | 1 | [M+3H]2930;1.41e+00;6.09e-03;0.93 | 0 | NA | ||||
| 2946 | 859.605 | 858.597 | 378.2 | 0.99 | 9 | 10 | 3.26e-01 | 1 | [13C1]2947;1.23e-01;1.03e-04;0.91 | 0 | 0 | NA | |||||
| 2949 | 862.569 | 861.562 | 1784.3 | 1.13 | 9 | 10 | 2.29e-01 | 1 | [13C1]2951;1.21e+00;1.63e-03;0.94 | 0 | 0 | NA | |||||
| 2955 | 865.265 | 864.257 | 362.6 | 0.99 | 9 | 10 | 9.76e-01 | 1 | [13C1]2956;-1.60e-01;1.33e-03;0.98 | 0 | 0 | NA | |||||
| 2959 | 867.093 | 866.085 | 956.9 | 1.28 | 9 | 10 | 4.03e-01 | 1 | [13C1]2962;-2.90e+00;2.62e-03;0.92 | 0 | 0 | NA | |||||
| 2960 | 867.372 | 866.365 | 1482.8 | 1.01 | 9 | 10 | 9.14e-01 | 2 | [13C1]2963;-8.73e-02;7.27e-04;0.99 [13C2]2966;-1.7e-01;2.0e-03;0.96 | 0 | 0 | NA | |||||
| 2963 | 868.376 | 867.369 | 1482.7 | 1 | 9 | 10 | 9.43e-01 | 2 | [13C1]2966;-8.53e-02;2.69e-03;0.94 [13C2]2968;-5.1e-02;3.0e-03;0.93 | 1 | [13C#1]2960;8.73e-02;7.27e-04;0.99 | 0 | NA | ||||
| 2966 | 869.377 | 868.37 | 1482.6 | 1 | 9 | 10 | 9.77e-01 | 1 | [13C1]2968;3.40e-02;5.67e-03;0.90 | 2 | [13C#1]2963;8.53e-02;2.69e-03;0.94 [13C#2]2960;1.73e-01;1.00e+00;0.96 | 0 | NA | ||||
| 2989 | 886.427 | 885.42 | 952.1 | 1.02 | 9 | 10 | 9.56e-01 | 1 | [13C1]2991;-9.87e-02;1.34e-03;1.00 | 0 | 0 | NA | |||||
| 2997 | 892.508 | 891.501 | 1490.2 | 1.04 | 9 | 10 | 8.22e-01 | 1 | [13C1]2998;-5.85e-01;7.10e-03;0.98 | 0 | 0 | NA | |||||
| 3012 | 905.678 | 904.671 | 972.9 | 1.04 | 9 | 10 | 8.71e-01 | 4 | [13C1]3013;2.35e-02;6.66e-04;1.00 [13C2]3015;2.4e-02;5.5e-04;1.00 [M+Na]:3041;1.2e+00;4.5e-04;0.76 [M+K]:3065;1.0e+00;6.8e-04;0.85 | 0 | 0 | NA | |||||
| 3013 | 906.681 | 905.674 | 972.9 | 1.03 | 9 | 10 | 9.01e-01 | 2 | [13C1]3015;0.00e+00;1.17e-04;1.00 [13C2]3018;-4.1e-02;2.5e-04;0.85 | 1 | [13C#1]3012;2.35e-02;6.66e-04;1.00 | 0 | NA | ||||
| 3014 | 906.822 | 905.815 | 389.4 | 0.99 | 9 | 10 | 5.76e-01 | 2 | [13C1]3016;2.73e-02;3.88e-04;0.89 [M+Na+HCOOH]:3111;2.7e-02;7.5e-04;0.88 | 1 | [M+Na+HCOOH]2892;3.45e-02;1.29e-03;0.90 | 0 | NA | ||||
| 3015 | 907.684 | 906.677 | 972.9 | 1.05 | 9 | 10 | 8.18e-01 | 1 | [13C1]3018;-4.10e-02;3.63e-04;0.86 | 2 | [13C#1]3013;0.00e+00;1.17e-04;1.00 [13C#2]3012;2.35e-02;1.00e+00;1.00 | 0 | NA | ||||
| 3032 | 921.434 | 920.427 | 954.9 | 0.94 | 9 | 10 | 6.10e-01 | 1 | [13C1]3034;2.52e-02;3.37e-03;0.93 | 0 | 0 | NA | |||||
| 3037 | 923.689 | 922.682 | 951.1 | 1.06 | 9 | 10 | 6.54e-01 | 1 | [13C1]3039;3.94e-02;3.98e-04;0.99 | 0 | 0 | NA | |||||
| 3041 | 927.661 | 926.653 | 974 | 0.97 | 9 | 10 | 7.83e-01 | 2 | [13C1]3043;0.00e+00;3.29e-04;1.00 [13C2]3045;0.0e+00;1.3e-03;0.99 | 1 | [M+Na]3012;1.15e+00;4.46e-04;0.76 | 0 | NA | ||||
| 3043 | 928.664 | 927.657 | 974 | 0.98 | 9 | 10 | 8.23e-01 | 2 | [13C1]3045;0.00e+00;1.63e-03;0.99 [13C2]3046;1.2e-01;1.4e-03;0.98 | 1 | [13C#1]3041;0.00e+00;3.29e-04;1.00 | 0 | NA | ||||
| 3045 | 929.666 | 928.659 | 974 | 0.96 | 9 | 10 | 6.49e-01 | 1 | [13C1]3046;1.17e-01;1.95e-04;0.98 | 2 | [13C#1]3043;0.00e+00;1.63e-03;0.99 [13C#2]3041;0.00e+00;1.00e+00;0.99 | 0 | NA | ||||
| 3049 | 933.63 | 932.623 | 1685.6 | 0.98 | 9 | 10 | 9.41e-01 | 1 | [13C1]3050;1.44e-01;3.75e-03;0.99 | 0 | 0 | NA | |||||
| 3053 | 936.682 | 935.675 | 1789.5 | 0.93 | 9 | 10 | 7.04e-01 | 1 | [13C1]3055;-1.93e-02;4.82e-03;0.98 | 0 | 0 | NA | |||||
| 3056 | 938.579 | 937.571 | 1484.7 | 1.24 | 9 | 10 | 6.63e-01 | 2 | [13C1]3058;4.76e-02;5.51e-04;1.00 [M+Na]:3092;1.0e+00;1.0e-03;0.99 | 0 | 0 | NA | |||||
| 3059 | 940.499 | 939.492 | 1482.2 | 0.97 | 9 | 10 | 8.41e-01 | 1 | [13C1]3061;-5.09e-02;1.60e-03;0.99 | 0 | 0 | NA | |||||
| 3064 | 942.639 | 941.632 | 1792.3 | 1.01 | 9 | 10 | 7.48e-01 | 1 | [13C1]3066;-6.09e-02;7.36e-05;0.76 | 0 | 0 | NA | |||||
| 3068 | 944.359 | 943.352 | 907 | 1.22 | 9 | 10 | 1.66e-01 | 3 | [13C1]3071;3.33e-01;2.47e-03;0.99 [13C2]3074;1.7e-01;4.6e-03;0.98 [M+Na]:3101;-5.7e-01;2.7e-03;0.98 | 0 | 0 | NA | |||||
| 3069 | 944.644 | 943.637 | 976.2 | 1.06 | 9 | 10 | 6.05e-01 | 1 | [13C1]3072;-2.34e+00;9.54e-03;0.84 | 0 | 0 | NA | |||||
| 3071 | 945.36 | 944.353 | 907.4 | 1.21 | 9 | 10 | 1.87e-01 | 1 | [13C1]3074;-1.62e-01;2.14e-03;0.99 | 1 | [13C#1]3068;3.33e-01;2.47e-03;0.99 | 0 | NA | ||||
| 3079 | 949.627 | 948.619 | 1597.8 | 0.44 | 9 | 10 | 2.92e-02 | 3 | [13C1]3081;7.02e-02;1.43e-04;1.00 [13C2]3083;2.7e-01;8.5e-04;1.00 [M+Na]:3108;7.0e-02;9.3e-05;0.93 | 0 | 0 | NA | |||||
| 3081 | 950.63 | 949.623 | 1597.8 | 0.47 | 9 | 10 | 3.14e-02 | 1 | [13C1]3083;1.96e-01;9.91e-04;0.99 | 1 | [13C#1]3079;7.02e-02;1.43e-04;1.00 | 0 | NA | ||||
| 3091 | 959.965 | 958.957 | 389.9 | 0.98 | 9 | 10 | 4.58e-01 | 1 | [13C1]3093;4.19e-01;1.31e-03;0.91 | 0 | 0 | NA | |||||
| 3092 | 960.56 | 959.552 | 1485.7 | 1.33 | 9 | 8 | 5.17e-01 | 1 | [13C1]3094;-1.33e-01;1.54e-03;1.00 | 1 | [M+Na]3056;1.02e+00;1.00e-03;0.99 | 0 | NA | ||||
| 3111 | 974.811 | 973.803 | 389.5 | 0.99 | 9 | 10 | 6.76e-01 | 1 | [13C1]3113;3.19e-01;8.36e-03;0.91 | 1 | [M+Na+HCOOH]3014;2.72e-02;7.55e-04;0.88 | 0 | NA | ||||
| 3112 | 975.643 | 974.636 | 1663.6 | 0.61 | 9 | 10 | 1.20e-01 | 2 | [13C1]3114;0.00e+00;5.60e-04;1.00 [13C2]3116;-1.5e-02;8.7e-05;1.00 | 0 | 0 | NA | |||||
| 3114 | 976.646 | 975.639 | 1663.6 | 0.63 | 9 | 10 | 1.25e-01 | 1 | [13C1]3116;-1.48e-02;4.74e-04;1.00 | 1 | [13C#1]3112;0.00e+00;5.60e-04;1.00 | 0 | NA | ||||
| 3129 | 986.594 | 985.587 | 1493.4 | 4.09 | 7 | 4 | 1.34e-02 | 1 | [13C1]3131;2.51e-01;8.16e-04;1.00 | 0 | 0 | NA | |||||
| 3136 | 991.674 | 990.666 | 1654.1 | 0.79 | 9 | 10 | 1.69e-01 | 2 | [13C1]3138;-3.16e-01;7.48e-05;1.00 [13C2]3139;-4.4e-01;8.8e-05;1.00 | 0 | 0 | NA | |||||
| 3138 | 992.677 | 991.67 | 1653.8 | 0.78 | 9 | 10 | 1.65e-01 | 2 | [13C1]3139;-1.19e-01;1.62e-04;1.00 [13C2]3140;0.0e+00;8.0e-04;1.00 | 1 | [13C#1]3136;3.16e-01;7.48e-05;1.00 | 0 | NA | ||||
| 3139 | 993.68 | 992.673 | 1653.6 | 0.77 | 9 | 10 | 1.67e-01 | 2 | [13C1]3140;1.19e-01;6.37e-04;1.00 [13C2]3142;1.2e-01;2.4e-03;1.00 | 2 | [13C#1]3138;1.19e-01;1.62e-04;1.00 [13C#2]3136;4.36e-01;1.00e+00;1.00 | 0 | NA | ||||
| 3140 | 994.683 | 993.676 | 1653.8 | 0.77 | 9 | 10 | 1.48e-01 | 2 | [13C1]3142;0.00e+00;1.79e-03;1.00 [13C2]3143;3.2e-01;7.1e-03;0.99 | 2 | [13C#1]3139;1.19e-01;6.37e-04;1.00 [13C#2]3138;0.00e+00;1.00e+00;1.00 | 0 | NA | ||||
| 3142 | 995.685 | 994.677 | 1653.8 | 0.79 | 9 | 10 | 1.65e-01 | 1 | [13C1]3143;3.16e-01;5.33e-03;0.99 | 2 | [13C#1]3140;0.00e+00;1.79e-03;1.00 [13C#2]3139;1.19e-01;1.00e+00;1.00 | 0 | NA |
